| ²é¿´: 587 | »Ø¸´: 4 | ||
tfntfn88½ð³æ (ÕýʽдÊÖ)
|
[ÇóÖú]
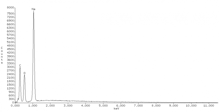
ÕâÕŵ羵ͼÊDz»ÊÇ¿ÉÒÔÈ·¶¨²»º¬µª£¬ÇóÖú
|
|
|
|
||
chenyant½ð³æ (ÖøÃûдÊÖ)
|
¡ï ¡ï ¡ï ¡ï ¡ï ¡ï ¡ï ¡ï ¡ï ¡ï
tfntfn88(·ÑÒ¦ÓÀ·Ò´ú·¢): ½ð±Ò+10 2016-07-12 12:15:29
|
|
|
2Â¥2016-07-12 09:55:29
|
|
|
chenyant½ð³æ (ÖøÃûдÊÖ)
|
¡ï ¡ï ¡ï ¡ï ¡ï ¡ï ¡ï ¡ï ¡ï ¡ï
tfntfn88(·ÑÒ¦ÓÀ·Ò´ú·¢): ½ð±Ò+10 2016-07-12 12:15:16
|
|
|
3Â¥2016-07-12 09:56:07
|
|
|
tfntfn88½ð³æ (ÕýʽдÊÖ)
|
||
|
4Â¥2016-07-12 10:01:46
|
|
|
tfntfn88½ð³æ (ÕýʽдÊÖ)
|
||
|
5Â¥2016-07-12 10:04:27
|
|














»Ø¸´´ËÂ¥