| 查看: 1845 | 回复: 1 | |
hongjin1111铜虫 (初入文坛)
|
[求助]
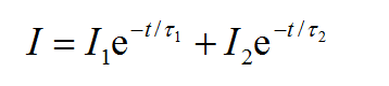
时间分辨荧光谱多指数衰减的问题 已有1人参与
|
|
|
|
hbc1234木虫 (小有名气)
|
|
|
2楼2016-07-12 09:05:18
|
|













回复此楼