| 查看: 1937 | 回复: 6 | ||
[求助]
MS几何优化收敛变慢问题
|
|
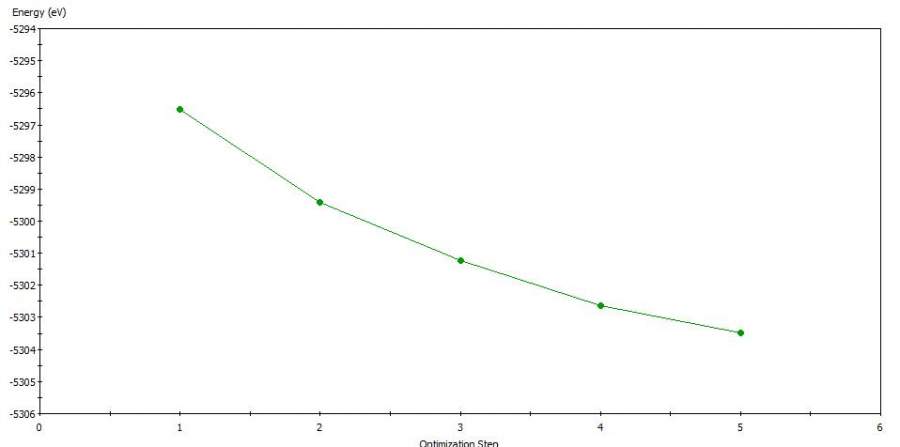
各位MS前辈,小弟最近在做界面优化的时候老是遇到优化到第五步就开始变得非常缓慢,几天都走不到下一步,而且看CUP的利用率在前五步还是60%左右,之后就只有1%-3%(这是不是意味着着计算停止了,但是命令框里面显示running),下图为收敛图,烦请各位帮忙看下 http:// http:// 能量图.jpg |
» 猜你喜欢
281求调剂(0805)
已经有8人回复
环境领域全国重点实验室招收博士1-2名
已经有3人回复
材料专硕306英一数二
已经有10人回复
301求调剂
已经有6人回复
一志愿天津大学化学工艺专业(081702)315分求调剂
已经有7人回复
302求调剂
已经有6人回复
26博士申请
已经有3人回复
268求调剂
已经有3人回复
311求调剂
已经有10人回复
被我言中:新模板不强调格式了,假专家开始管格式了
已经有4人回复

binarec
木虫 (小有名气)
- 应助: 5 (幼儿园)
- 金币: 3512.3
- 红花: 4
- 帖子: 167
- 在线: 171.7小时
- 虫号: 893268
- 注册: 2009-11-04
- 性别: GG
- 专业: 金属材料表面科学与工程
2楼2016-07-10 22:10:27

3楼2016-07-11 14:56:02
dlrobin
木虫 (正式写手)
- 应助: 5 (幼儿园)
- 金币: 2094.8
- 红花: 3
- 帖子: 635
- 在线: 77.6小时
- 虫号: 2119919
- 注册: 2012-11-11
- 专业: 多相流热物理学
4楼2016-07-11 15:02:28

5楼2016-07-15 09:23:52
我pro求学路
铜虫 (小有名气)
- 应助: 0 (幼儿园)
- 金币: 104
- 散金: 25
- 帖子: 101
- 在线: 59.6小时
- 虫号: 3479548
- 注册: 2014-10-16
- 专业: 金属材料表面科学与工程
6楼2016-10-10 11:33:59
7楼2021-08-09 10:46:37













回复此楼
