| 查看: 976 | 回复: 16 | |||
Ariel1996新虫 (小有名气)
|
[交流]
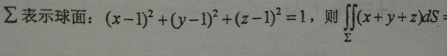
大神求教
|
||
|
详细步骤 发自小木虫Android客户端 |
» 猜你喜欢
2025冷门绝学什么时候出结果
已经有6人回复
Bioresource Technology期刊,第一次返修的时候被退回好几次了
已经有7人回复
真诚求助:手里的省社科项目结项要求主持人一篇中文核心,有什么渠道能发核心吗
已经有8人回复
寻求一种能扛住强氧化性腐蚀性的容器密封件
已经有5人回复
请问哪里可以有青B申请的本子可以借鉴一下。
已经有4人回复
请问下大家为什么这个铃木偶联几乎不反应呢
已经有5人回复
请问有评职称,把科研教学业绩算分排序的高校吗
已经有5人回复
天津工业大学郑柳春团队欢迎化学化工、高分子化学或有机合成方向的博士生和硕士生加入
已经有4人回复
康复大学泰山学者周祺惠团队招收博士研究生
已经有6人回复
AI论文写作工具:是科研加速器还是学术作弊器?
已经有3人回复
racoon01
专家顾问 (著名写手)
-

专家经验: +213 - 数学EPI: 3
- 应助: 212 (大学生)
- 金币: 24354.4
- 散金: 27
- 红花: 71
- 帖子: 2438
- 在线: 643.2小时
- 虫号: 1282452
- 注册: 2011-05-01
- 专业: 中国近代史、现代史
- 管辖: 物理

8楼2016-07-09 17:07:10
jhysxx
新虫 (正式写手)
- 应助: 14 (小学生)
- 金币: 2117.9
- 红花: 2
- 帖子: 326
- 在线: 75小时
- 虫号: 247149
- 注册: 2006-05-01
- 性别: MM
- 专业: 信息安全
2楼2016-07-08 12:14:51
Ariel1996
新虫 (小有名气)
- 应助: 0 (幼儿园)
- 金币: 1038.9
- 散金: 112
- 红花: 1
- 帖子: 123
- 在线: 24.2小时
- 虫号: 4238530
- 注册: 2015-11-22
- 专业: 电化学分析
3楼2016-07-08 14:01:59
tingting2011
新虫 (小有名气)
- 应助: 0 (幼儿园)
- 金币: 1761.9
- 散金: 36
- 帖子: 102
- 在线: 54.5小时
- 虫号: 1403062
- 注册: 2011-09-15
- 性别: GG
- 专业: 数理统计
4楼2016-07-09 08:02:54
Ariel1996
新虫 (小有名气)
- 应助: 0 (幼儿园)
- 金币: 1038.9
- 散金: 112
- 红花: 1
- 帖子: 123
- 在线: 24.2小时
- 虫号: 4238530
- 注册: 2015-11-22
- 专业: 电化学分析
5楼2016-07-09 12:10:01
tingting2011
新虫 (小有名气)
- 应助: 0 (幼儿园)
- 金币: 1761.9
- 散金: 36
- 帖子: 102
- 在线: 54.5小时
- 虫号: 1403062
- 注册: 2011-09-15
- 性别: GG
- 专业: 数理统计
6楼2016-07-09 16:11:38
tingting2011
新虫 (小有名气)
- 应助: 0 (幼儿园)
- 金币: 1761.9
- 散金: 36
- 帖子: 102
- 在线: 54.5小时
- 虫号: 1403062
- 注册: 2011-09-15
- 性别: GG
- 专业: 数理统计
7楼2016-07-09 16:18:17
lyrubben
银虫 (小有名气)
- 应助: 3 (幼儿园)
- 金币: 2830.3
- 散金: 10
- 帖子: 260
- 在线: 194.9小时
- 虫号: 1389127
- 注册: 2011-09-03
- 专业: 计算数学与科学工程计算

9楼2016-07-10 09:39:45
Ariel1996
新虫 (小有名气)
- 应助: 0 (幼儿园)
- 金币: 1038.9
- 散金: 112
- 红花: 1
- 帖子: 123
- 在线: 24.2小时
- 虫号: 4238530
- 注册: 2015-11-22
- 专业: 电化学分析
10楼2016-07-10 11:04:36













回复此楼
