| 查看: 3483 | 回复: 7 | |||
lmy3991418金虫 (正式写手)
|
[求助]
关于求和符号西格玛上下标的问题 已有2人参与
|
||
|
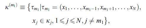
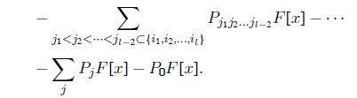
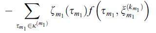
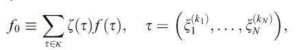
如题,我论文中需要键入西格玛来求和,在一年的时间范围内求和,因为具体问题的需要,西格玛的上下标都写具体的数字会产生歧义。 那么,我只将西格玛符号的下标写为“annual”,不知道这样的表达是不是规范? 我百度了一下,并不能解决我的问题。希望能得到确切的答复。 ps:第一个满意回答会得到全部的50金币。谢谢 |
» 猜你喜欢
面上项目申报
已经有3人回复
有时候真觉得大城市人没有县城人甚至个体户幸福
已经有5人回复
酰胺脱乙酰基
已经有9人回复
CSC & MSCA 博洛尼亚大学能源材料课题组博士/博士后招生|MSCA经费充足、排名优
已经有5人回复
有70后还继续奋斗在职场上的吗?
已经有6人回复
博士延得我,科研能力直往上蹿
已经有7人回复
退学或坚持读
已经有27人回复
面上基金申报没有其他的参与者成吗
已经有5人回复
遇见不省心的家人很难过
已经有22人回复
mygt_hit
专家顾问 (职业作家)
-

专家经验: +362 - 数学EPI: 3
- 应助: 438 (硕士)
- 贵宾: 0.019
- 金币: 19571.1
- 散金: 5130
- 红花: 135
- 沙发: 3
- 帖子: 4938
- 在线: 990.5小时
- 虫号: 1489764
- 注册: 2011-11-13
- 性别: GG
- 专业: 结构工程
- 管辖: 土木建筑

8楼2016-07-10 08:57:51
2楼2016-07-08 09:25:41
lmy3991418
金虫 (正式写手)
- 应助: 0 (幼儿园)
- 金币: 741
- 散金: 269
- 红花: 1
- 沙发: 1
- 帖子: 454
- 在线: 561.3小时
- 虫号: 2662991
- 注册: 2013-09-17
- 性别: GG
- 专业: 可再生与替代能源利用中的
3楼2016-07-09 09:15:47
4楼2016-07-09 12:55:00
mygt_hit
专家顾问 (职业作家)
-

专家经验: +362 - 数学EPI: 3
- 应助: 438 (硕士)
- 贵宾: 0.019
- 金币: 19571.1
- 散金: 5130
- 红花: 135
- 沙发: 3
- 帖子: 4938
- 在线: 990.5小时
- 虫号: 1489764
- 注册: 2011-11-13
- 性别: GG
- 专业: 结构工程
- 管辖: 土木建筑

5楼2016-07-09 21:02:21
lmy3991418
金虫 (正式写手)
- 应助: 0 (幼儿园)
- 金币: 741
- 散金: 269
- 红花: 1
- 沙发: 1
- 帖子: 454
- 在线: 561.3小时
- 虫号: 2662991
- 注册: 2013-09-17
- 性别: GG
- 专业: 可再生与替代能源利用中的
6楼2016-07-10 07:17:03
mygt_hit
专家顾问 (职业作家)
-

专家经验: +362 - 数学EPI: 3
- 应助: 438 (硕士)
- 贵宾: 0.019
- 金币: 19571.1
- 散金: 5130
- 红花: 135
- 沙发: 3
- 帖子: 4938
- 在线: 990.5小时
- 虫号: 1489764
- 注册: 2011-11-13
- 性别: GG
- 专业: 结构工程
- 管辖: 土木建筑

7楼2016-07-10 08:56:45













回复此楼