| 查看: 626 | 回复: 2 | ||
i维数木虫 (正式写手)
|
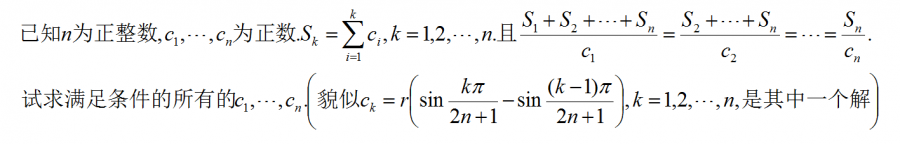
[求助]
求解方程组 已有1人参与
|
|
|
|
||
|
2楼2016-07-06 12:39:47
|
|
|
hank612至尊木虫 (著名写手)
|
【答案】应助回帖
★ ★ ★ ★ ★ ★ ★ ★ ★ ★
感谢参与,应助指数 +1 i维数: 金币+10, ★★★★★最佳答案, 懂了,谢谢大神! 2016-07-10 22:26:10
|
|
![]() |
||
|
3楼2016-07-07 23:29:17
|
|













回复此楼
