| 查看: 1782 | 回复: 4 | ||
[求助]
为什么随着cv扫描速度的增大,材料的氧化峰和还原峰就不见了? 已有2人参与
|
|
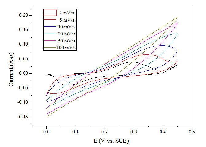
各位研友好: 本人做Ni-Co-O超级电容器材料,考察它的循环伏安曲线,为什么在低扫描速度下该材料有明显的氧化峰和还原峰出现,但是到了高扫描速度时这两个对称峰就不见了呢? 烦请各位研友帮忙指点迷津,十分感谢!!! 捕获214.PNG |
» 猜你喜欢
上海工程技术大学生态与功能纺织品开发研究团队招收学硕专硕研究生
已经有0人回复
华南理工0703求调剂,总分336四六级已过
已经有2人回复
分析化学论文润色/翻译怎么收费?
已经有248人回复
青岛大学化学化工学院2026年招收调剂硕士研究生
已经有0人回复
新能源材料方向考研调剂招生(长江师范学院)
已经有0人回复
0854电子信息272求调剂!
已经有0人回复
化学-化工-材料-食品-生物-环境2026年研究生调剂(可以不考数学)
已经有0人回复
化学-化工-材料-食品-生物-环境-农业 2026年研究生调剂(可以不考数学)
已经有1人回复
070300一志愿211,312分求调剂院校
已经有4人回复
26年储能、电池方向博士申请
已经有0人回复
070300化学求调剂
已经有2人回复
» 本主题相关商家推荐: (我也要在这里推广)
kailvy
木虫 (小有名气)
- 应助: 1 (幼儿园)
- 金币: 5893.5
- 红花: 1
- 帖子: 127
- 在线: 239小时
- 虫号: 2265237
- 注册: 2013-01-28
- 性别: GG
- 专业: 电化学
2楼2016-07-15 15:16:34
3楼2016-07-15 16:48:44
chere279
金虫 (正式写手)
- 应助: 105 (高中生)
- 金币: 1544.8
- 散金: 95
- 红花: 7
- 帖子: 728
- 在线: 236.8小时
- 虫号: 1163974
- 注册: 2010-12-06
- 性别: GG
- 专业: 电化学分析
4楼2016-07-15 17:07:39
5楼2017-01-15 01:39:39














回复此楼
