| ²é¿´: 949 | »Ø¸´: 4 | ||||
Ariel1996гæ (СÓÐÃûÆø)
|
[½»Á÷]
´óÉñÔÚÄÄÀï
|
|
ÇóÏêϸ²½Öè ·¢×ÔСľ³æAndroid¿Í»§¶Ë |
» ²ÂÄãϲ»¶
085410 273·Öµ÷¼Á
ÒѾÓÐ3È˻ظ´
291·Öµ÷¼Á
ÒѾÓÐ5È˻ظ´
¼ÆËã»ú22408 281·Ö£¬Çóµ÷¼Á
ÒѾÓÐ3È˻ظ´
305Çóµ÷¼Á
ÒѾÓÐ5È˻ظ´
µ÷¼Á
ÒѾÓÐ3È˻ظ´
316Çóµ÷¼Á
ÒѾÓÐ4È˻ظ´
304Çóµ÷¼Á£¨085602£¬¹ýËļ¶£¬Ò»Ö¾Ô¸985£©
ÒѾÓÐ27È˻ظ´
270Çóµ÷¼Á
ÒѾÓÐ3È˻ظ´
312Çóµ÷¼Á
ÒѾÓÐ4È˻ظ´
272·Ö²ÄÁÏ×ÓÇóµ÷¼Á
ÒѾÓÐ40È˻ظ´
zaq123321
ר¼Ò¹ËÎÊ (ÖøÃûдÊÖ)
-

ר¼Ò¾Ñé: +342 - ÊýѧEPI: 6
- Ó¦Öú: 298 (´óѧÉú)
- ¹ó±ö: 0.247
- ½ð±Ò: 11336.3
- ºì»¨: 29
- Ìû×Ó: 1221
- ÔÚÏß: 538.8Сʱ
- ³æºÅ: 405284
- ×¢²á: 2007-06-17
- ÐÔ±ð: MM
- רҵ: ÉúÎï´ó·Ö×ӽṹÓ빦ÄÜ
- ¹ÜϽ: Êýѧ
¡ï
Сľ³æ: ½ð±Ò+0.5, ¸ø¸öºì°ü£¬Ð»Ð»»ØÌû
Сľ³æ: ½ð±Ò+0.5, ¸ø¸öºì°ü£¬Ð»Ð»»ØÌû
|
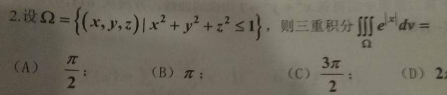
Guess c. The integrate domain is a unit ball. It's volume is 4pi/3. Here integrand is function exp(|x|), which is always bigger than 1 except origin. Thus the integral should be bigger than the volume of unit ball. Only c applies. [ ·¢×ÔÊÖ»ú°æ http://muchong.com/3g ] |

2Â¥2016-07-06 00:23:44
wudi76
гæ (³õÈëÎÄ̳)
- Ó¦Öú: 1 (Ó×¶ùÔ°)
- ½ð±Ò: 896.3
- ºì»¨: 1
- Ìû×Ó: 21
- ÔÚÏß: 22.7Сʱ
- ³æºÅ: 3600518
- ×¢²á: 2014-12-18
- ÐÔ±ð: GG
- רҵ: ·ºº¯·ÖÎö
3Â¥2016-07-06 08:43:44
jueang
гæ (³õÈëÎÄ̳)
- Ó¦Öú: 0 (Ó×¶ùÔ°)
- ½ð±Ò: 224
- Ìû×Ó: 16
- ÔÚÏß: 1.6Сʱ
- ³æºÅ: 1935252
- ×¢²á: 2012-08-12
- רҵ: ´úÊýѧ
4Â¥2016-07-06 19:38:54
hitzzt
ľ³æ (СÓÐÃûÆø)
- Ó¦Öú: 1 (Ó×¶ùÔ°)
- ½ð±Ò: 1310.2
- ºì»¨: 1
- Ìû×Ó: 73
- ÔÚÏß: 25.1Сʱ
- ³æºÅ: 1066311
- ×¢²á: 2010-07-29
- ÐÔ±ð: GG
- רҵ: ³£Î¢·Ö·½³ÌÓ붯Á¦ÏµÍ³
¡ï
Сľ³æ: ½ð±Ò+0.5, ¸ø¸öºì°ü£¬Ð»Ð»»ØÌû
Сľ³æ: ½ð±Ò+0.5, ¸ø¸öºì°ü£¬Ð»Ð»»ØÌû
|
ÀûÓÃÏȶþºóÒ»·¨£¨ÇÐÆ¬·¨£©¾Í¿ÉÒÔËã³öÀ´£¬²»ÄÑ×ö ·¢×ÔСľ³æAndroid¿Í»§¶Ë |
5Â¥2016-07-06 22:03:58













»Ø¸´´ËÂ¥