24小时热门版块排行榜    

查看: 380  |  回复: 0

雨季西北

银虫 (初入文坛)

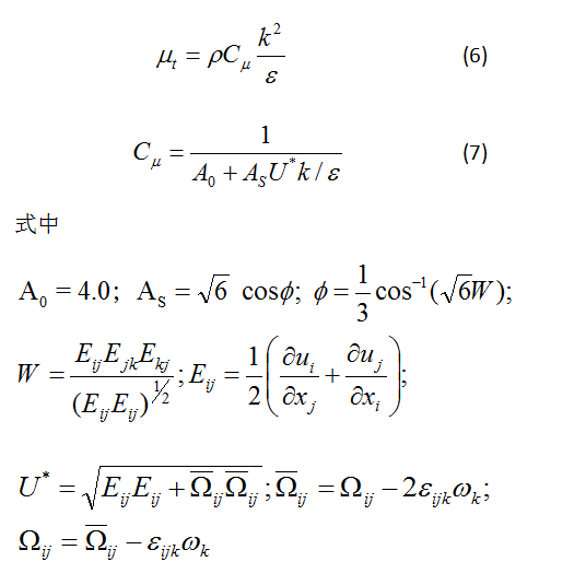
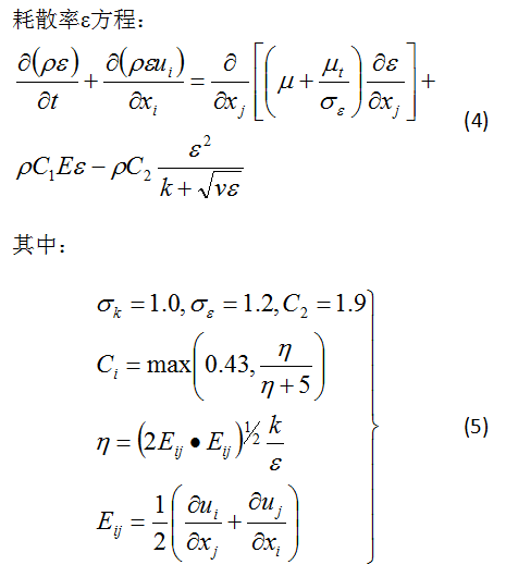
[求助] CFD基本理论

(1)C1的定义是什么?
(2)计算中如何体现Ωij的作用?
谢谢!

CFD基本理论
3Z81CTRWGJ8`~FV_FLL[L{C.png


CFD基本理论-1
S%IO]TKMOIFX6TGCB(TBR1Y.png
回复此楼

» 猜你喜欢

已阅   回复此楼   关注TA 给TA发消息 送TA红花 TA的回帖
相关版块跳转 我要订阅楼主 雨季西北 的主题更新
最具人气热帖推荐 [查看全部] 作者 回/看 最后发表
[考研] 281求调剂 +3 亚克西good 2026-03-26 5/250 2026-03-26 19:48 by 不吃魚的貓
[考研] 266分求材料化工冶金矿业等专业的调剂 +3 哇呼哼呼哼 2026-03-26 3/150 2026-03-26 19:16 by JourneyLucky
[考研] 22 350 本科985求调剂,求老登收留 +4 李轶男003 2026-03-20 4/200 2026-03-26 16:05 by 哇啦啦啦xtj
[考研] 材料科学与工程 317求调剂 +4 JKSOIID 2026-03-26 4/200 2026-03-26 15:58 by 不吃魚的貓
[考研] 一志愿陕师大生物学071000,298分,求调剂 +4 SYA! 2026-03-23 4/200 2026-03-26 15:27 by caiaijun80
[考研] 一志愿中南大学化学学硕0703总分337求调剂 +7 niko- 2026-03-22 7/350 2026-03-25 20:14 by qingfeng258
[考研] 0854电子信息求调剂 +7 α____ 2026-03-22 9/450 2026-03-25 13:37 by α____
[考研] 0854电子信息求调剂 324 +4 Promise-jyl 2026-03-23 4/200 2026-03-25 11:36 by Sugarlight
[考研] 0703化学求调剂 +6 奶油草莓. 2026-03-22 7/350 2026-03-25 10:00 by shangxh
[考研] 289材料与化工(085600)B区求调剂 +4 这么名字咋样 2026-03-22 5/250 2026-03-25 08:20 by mx.yue
[考研] 300分,材料,求调剂,英一数二 +5 超赞的 2026-03-24 5/250 2026-03-24 21:07 by 星空星月
[考研] 一志愿吉大化学322求调剂 +4 17501029541 2026-03-23 6/300 2026-03-24 10:21 by 戴围脖的小蚊子
[考研] 269求调剂 +4 我想读研11 2026-03-23 4/200 2026-03-23 21:25 by pswait
[论文投稿] 急发核心期刊论文 +3 贤达问津 2026-03-23 5/250 2026-03-23 17:13 by 妹子不好惹
[考研] 328求调剂 +4 LHHL66 2026-03-23 4/200 2026-03-23 14:55 by lbsjt
[考研] 291求调剂 +5 孅華 2026-03-22 5/250 2026-03-23 09:20 by haoshis
[考研] 求调剂一志愿海大,0703化学学硕304分,有大创项目,四级已过 +6 幸运哩哩 2026-03-22 10/500 2026-03-22 20:10 by edmund7
[考研] 材料 271求调剂 +5 展信悦_ 2026-03-21 5/250 2026-03-21 17:29 by 学员8dgXkO
[考研] 085601调剂 358分 +3 zzzzggh 2026-03-20 4/200 2026-03-21 10:21 by luoyongfeng
[考研] 一志愿西安交通大学 学硕 354求调剂211或者双一流 +3 我想要读研究生 2026-03-20 3/150 2026-03-20 20:13 by JourneyLucky
信息提示
请填处理意见