24小时热门版块排行榜    

查看: 3824  |  回复: 0

409431036

铁虫 (小有名气)

[求助] maple 进行公式推导计算

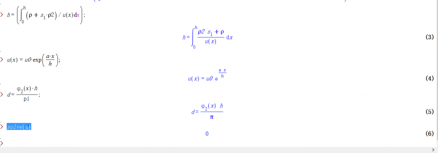
_local(h*a*u0*rho*s[1]*rho2)            定义常数
`ϕ`[1](x) = -(1/4)*ln(u(x)*(rho2*s[1]+rho));
`ϕ`[2](x) = -(int((diff((u(x)*(diff((`ϕ`[1](x))(x), x)))(x), x)+u(x)*`ϕ`[1](x)^2)/(2*(u(x)*(rho2*s[1]+rho))^.5), x = 0 .. h))
h = int((rho2*s[1]+rho)/u(x), x = 0 .. h);
u(x) = u0*exp(a*x/h);
d = `ϕ`[2](x)*h/pi;
solve(d)

maple 进行公式推导计算
H_UGHNEW{26ENU}9T$X$YES.png


maple 进行公式推导计算-1
MW~~S9DLT0$[ABGQAA64N49.png
回复此楼
取其精华去其糟粕
已阅   回复此楼   关注TA 给TA发消息 送TA红花 TA的回帖
相关版块跳转 我要订阅楼主 409431036 的主题更新
最具人气热帖推荐 [查看全部] 作者 回/看 最后发表
[考研] 284求调剂 +10 Zhao anqi 2026-03-22 10/500 2026-03-24 00:08 by Equinoxhua
[考研] 298-一志愿中国农业大学-求调剂 +11 手机用户 2026-03-17 12/600 2026-03-23 23:51 by 热情沙漠
[考研] 070300化学求调剂 +8 苑豆豆 2026-03-20 8/400 2026-03-23 20:57 by baobaoye
[考研] 350求调剂 +6 weudhdk 2026-03-19 6/300 2026-03-23 15:47 by tangyuan0840221
[考研] 298求调剂 +8 上岸6666@ 2026-03-20 8/400 2026-03-23 11:02 by laoshidan
[考研] 315分,诚求调剂,材料与化工085600 +3 13756423260 2026-03-22 3/150 2026-03-22 20:11 by edmund7
[考研] 275求调剂 +6 shansx 2026-03-22 8/400 2026-03-22 15:27 by barlinike
[考研] 269专硕求调剂 +6 金恩贝 2026-03-21 6/300 2026-03-22 14:31 by ColorlessPI
[考研] 354求调剂 +7 Tyoumou 2026-03-18 10/500 2026-03-22 11:11 by 人来盛
[考研] 材料工程专硕 348分求调剂 +3 冬辞. 2026-03-17 5/250 2026-03-21 18:47 by 学员8dgXkO
[考研] 一志愿南大,0703化学,分数336,求调剂 +3 收到VS 2026-03-21 3/150 2026-03-21 18:42 by 学员8dgXkO
[考研] 297求调剂 +3 喜欢还是不甘心 2026-03-20 3/150 2026-03-21 18:33 by 学员8dgXkO
[考研] 一志愿重庆大学085700资源与环境总分308求调剂 +7 墨墨漠 2026-03-20 7/350 2026-03-21 16:36 by barlinike
[考研] 求调剂 +3 白QF 2026-03-21 3/150 2026-03-21 13:12 by zhukairuo
[考研] 初始318分求调剂(有工作经验) +3 1911236844 2026-03-17 3/150 2026-03-21 02:33 by JourneyLucky
[考研] 324分 085600材料化工求调剂 +4 llllkkkhh 2026-03-18 4/200 2026-03-21 01:24 by JourneyLucky
[考研] 一志愿重庆大学085700资源与环境专硕,总分308求调剂 +3 墨墨漠 2026-03-18 3/150 2026-03-21 00:39 by JourneyLucky
[考研] 材料学硕297已过四六级求调剂推荐 +11 adaie 2026-03-19 11/550 2026-03-20 21:30 by laoshidan
[考研] 广西大学家禽遗传育种课题组2026年硕士招生(接收计算机专业调剂) +3 123阿标 2026-03-17 3/150 2026-03-20 15:58 by 飞行琦
[考研] 【同济软件】软件(085405)考研求调剂 +3 2026eternal 2026-03-18 3/150 2026-03-18 19:09 by 搏击518
信息提示
请填处理意见