| ²é¿´: 4722 | »Ø¸´: 2 | ||
̩ɽС×Ó123ͳæ (ÖøÃûдÊÖ)
|
[ÇóÖú]
ORRÖмÆËãË«ÑõË®²úÂʵÄÎÊÌâ ÒÑÓÐ1È˲ÎÓë
|
µç»¯Ñ§Óëµç´ß»¯ |
» ²ÂÄãϲ»¶
һ־Ըǰ4λ´úÂë0703¾ù¿É±¨Ãû-ºÓ±±´óѧ·ÖÎö»¯Ñ§×¨ÒµÕÐÊÕµ÷¼Á¿¼Éú
ÒѾÓÐ71È˻ظ´
¡ï¡ï±¬¡ï¡ï0860ÉúÎïÓëÒ½Ò©µ÷¼Á¿¼Éú¿´¹ýÀ´£¬ºÓ±±´óѧ»¯Ñ§Óë²ÄÁÏ¿ÆÑ§Ñ§Ôº
ÒѾÓÐ86È˻ظ´
·ÖÎö»¯Ñ§ÂÛÎÄÈóÉ«/·ÒëÔõôÊÕ·Ñ?
ÒѾÓÐ148È˻ظ´
½ÜÇà/³¤½ÍŶÓÕÐÊÕµ÷¼Á
ÒѾÓÐ0È˻ظ´
ÖÐÄÏÁÖÒµ¿Æ¼¼´óѧÂÞÓ·æ½ÌÊÚÍŶÓ2026ÄêÕÐÊÕ²ÄÁÏÀàµ÷¼ÁÑо¿Éú£¨µÚ¶þÅú£©
ÒѾÓÐ2È˻ظ´
µç×ӿƼ¼´óѧ²ÄÁÏѧԺÍõÁˆ½ÌÊÚÄâÕÐÊÕ¹¤³Ì²©Ê¿Ò»Ãû£¨»¯Ñ§¡¢²ÄÁÏ·½Ïò£©
ÒѾÓÐ2È˻ظ´
ºþÄÏũҵ´óѧÄÜÔ´²ÄÁÏ´´ÐÂÍŶÓÕÐÊÕ2026»¯Ñ§×¨ÒµÑо¿Éú£¨Ñ§Ë¶£©µ÷¼Á
ÒѾÓÐ8È˻ظ´
°Â¶û±¤Xinxin Xiao¿ÎÌâ×éÕÐÊÕÒ»Ãû¸ÚÎ»ÖÆ²©Ê¿£¨Ã¸»ùÉúÎïµç»¯Ñ§£©
ÒѾÓÐ0È˻ظ´
¼ÃÄÏ´óѧ ²ÄÁÏ¿ÆÑ§Ó빤³Ì Àî½ð¿¿ÎÌâ×é ÕÐÊÕµ÷¼ÁÉú2Ãû£¨2026¼¶£©
ÒѾÓÐ0È˻ظ´
Synthesis of NCo@CNT-NFT Hierarchical Carbon Dendrites.
ÒѾÓÐ0È˻ظ´
AgÄÉÃײÄÁÏ
ÒѾÓÐ0È˻ظ´

cailianguo
½ð³æ (ÕýʽдÊÖ)
- Ó¦Öú: 4 (Ó×¶ùÔ°)
- ½ð±Ò: 601.3
- É¢½ð: 996
- ºì»¨: 2
- Ìû×Ó: 509
- ÔÚÏß: 244.8Сʱ
- ³æºÅ: 1060479
- ×¢²á: 2010-07-19
- רҵ: ÎÛȾ¿ØÖÆ»¯Ñ§
¡¾´ð°¸¡¿Ó¦Öú»ØÌû
¡ï ¡ï ¡ï ¡ï ¡ï
̩ɽС×Ó123: ½ð±Ò+5, ¡ï¡ï¡ïºÜÓаïÖú 2017-06-03 08:38:40
̩ɽС×Ó123: ½ð±Ò+5, ¡ï¡ï¡ïºÜÓаïÖú 2017-06-03 08:38:40
|
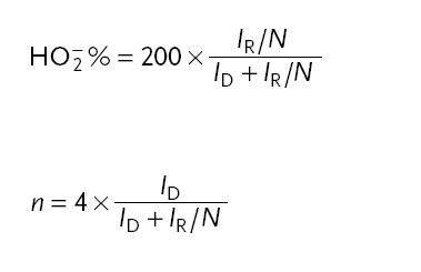
where ID is the disk current and IR is the ring current and N is current collection efficiency of the Pt ring. N was determined to be 0.40 from the reduction of K3Fe[CN]6. |

2Â¥2017-06-02 15:45:47
13297905202
Ìú³æ (³õÈëÎÄ̳)
- Ó¦Öú: 0 (Ó×¶ùÔ°)
- ½ð±Ò: 63.5
- É¢½ð: 4
- Ìû×Ó: 34
- ÔÚÏß: 34.5Сʱ
- ³æºÅ: 4740106
- ×¢²á: 2016-05-31
- ÐÔ±ð: GG
- רҵ: ²ÄÁÏÎïÀí»¯Ñ§
3Â¥2019-04-15 22:26:24














»Ø¸´´ËÂ¥