版块导航
正在加载中...
客户端APP下载
论文辅导
申博辅导
登录
注册
帖子
帖子
用户
本版
应《网络安全法》要求,自2017年10月1日起,未进行实名认证将不得使用互联网跟帖服务。为保障您的帐号能够正常使用,请尽快对帐号进行手机号验证,感谢您的理解与支持!
24小时热门版块排行榜
>
论坛更新日志
(2086)
>
虫友互识
(408)
>
论文投稿
(83)
>
博后之家
(45)
>
公派出国
(34)
>
基金申请
(29)
>
硕博家园
(28)
>
考博
(25)
>
休闲灌水
(22)
>
论文道贺祈福
(19)
>
导师招生
(18)
>
找工作
(13)
>
教师之家
(10)
>
文献求助
(7)
>
考研
(6)
>
外文书籍求助
(5)
小木虫论坛-学术科研互动平台
»
生物医药区
»
药学
»
药物分析
»
求基本合成思路
5
1/1
返回列表
查看: 999 | 回复: 10
只看楼主
@他人
存档
新回复提醒
(忽略)
收藏
在APP中查看
当前只显示满足指定条件的回帖,点击这里查看本话题的所有回帖
youyuanwin
金虫
(正式写手)
应助: 10
(幼儿园)
金币: 488.4
散金: 89
红花: 3
帖子: 533
在线: 114.3小时
虫号: 2609825
注册: 2013-08-21
专业: 天然药物化学
[
求助
]
求基本合成思路
已有1人参与
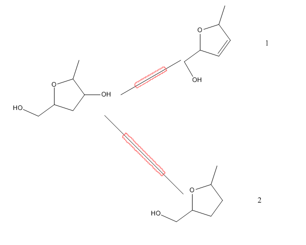
如图所示,如果我把2号位羟基脱掉,是得到1还是2?如果我想得到2,要怎么做呢?
完全是门外汉,请大家解疑答惑的时候,尽量不要用缩写,看不懂
QQ图片20160701123411.png
回复此楼
» 猜你喜欢
求个博导看看
已经有3人回复
上海工程技术大学张培磊教授团队招收博士生
已经有3人回复
上海工程技术大学【激光智能制造】课题组招收硕士
已经有5人回复
求助院士们,这个如何合成呀
已经有4人回复
临港实验室与上科大联培博士招生1名
已经有9人回复
想换工作。大多数高校都是 评职称时 认可5年内在原单位取得的成果吗?
已经有7人回复
需要合成515-64-0,50g,能接单的留言
已经有4人回复
自荐读博
已经有4人回复
写了一篇“相变储能技术在冷库中应用”的论文,论文内容以实验为主,投什么期刊合适?
已经有6人回复
带资进组求博导收留
已经有10人回复
» 本主题相关价值贴推荐,对您同样有帮助:
这个是AAB挂了么?三无人员第二年青年基金,要不要提起复审啊,求指导
已经有81人回复
初入聚氨酯化学,想学习产品开发知识,求指教
已经有21人回复
化工工艺课程设计 乙烯合成环氧乙烷
已经有3人回复
化工工艺课程设计 乙烯合成环氧乙烷
已经有4人回复
聚苯胺包覆Fe3O4问题求助
已经有5人回复
合成药化新手,初进实验室,求帮助
已经有8人回复
电子传输材料文章一篇,求对错
已经有2人回复
药学本科+不对称合成硕士,硕士期间做了大量各类型实验,求工作或者工作推荐金币奉送
已经有2人回复
浙江大学电路原理及网络理论(内部课件)
已经有144人回复
科研之路该如何继续?
已经有10人回复
迭氮化合物的合成中的困扰(10金币)
已经有15人回复
山东高考化学研究
已经有4人回复
几个不大不小的问题,诚心+重金求助
已经有15人回复
求大神指导-咪唑环上的脱水、脱羟基及上氯的建议
已经有5人回复
大哥大姐们,我实在是没办法了。各种求指导啊!!!!
已经有11人回复
【分享】【转载】如何在进入实验室后出类拔萃
已经有29人回复
1楼
2016-07-01 12:37:24
已阅
关注TA
给TA发消息
送TA红花
TA的回帖
youyuanwin
金虫
(正式写手)
应助: 10
(幼儿园)
金币: 488.4
散金: 89
红花: 3
帖子: 533
在线: 114.3小时
虫号: 2609825
注册: 2013-08-21
专业: 天然药物化学
引用回帖:
8楼
:
Originally posted by
普思生物
at 2016-07-02 12:56:53
一个是伯醇,一个是仲醇,通过条件和试剂的控制,可能会有一定的选择性,先把伯醇保护起来,具体怎么做,可能还是需要查REAXYS或者SICFINDER了,小木虫有专门的求助板块,可以去试试...
有专门的求助版块吗?没找到啊?
赞
一下
回复此楼
高级回复
9楼
2016-07-05 08:50:47
已阅
关注TA
给TA发消息
送TA红花
TA的回帖
查看全部 11 个回答
jiyannangxj
至尊木虫
(著名写手)
美女搞科研
PhEPI: 1
应助: 181
(高中生)
贵宾: 0.013
金币: 13145.5
散金: 32
红花: 109
帖子: 2948
在线: 630.8小时
虫号: 965914
注册: 2010-03-09
性别:
MM
专业: 天然有机化学
门外汉,你不查reaxys数据库,靠蒙还行?!
[ 发自手机版 http://muchong.com/3g ]
赞
一下
回复此楼
3楼
2016-07-01 13:08:35
已阅
关注TA
给TA发消息
送TA红花
TA的回帖
youyuanwin
金虫
(正式写手)
应助: 10
(幼儿园)
金币: 488.4
散金: 89
红花: 3
帖子: 533
在线: 114.3小时
虫号: 2609825
注册: 2013-08-21
专业: 天然药物化学
引用回帖:
3楼
:
Originally posted by
jiyannangxj
at 2016-07-01 13:08:35
门外汉,你不查reaxys数据库,靠蒙还行?!
我能说我连reaxy数据库都不知道吗
赞
一下
回复此楼
4楼
2016-07-01 13:45:02
已阅
关注TA
给TA发消息
送TA红花
TA的回帖
youyuanwin
金虫
(正式写手)
应助: 10
(幼儿园)
金币: 488.4
散金: 89
红花: 3
帖子: 533
在线: 114.3小时
虫号: 2609825
注册: 2013-08-21
专业: 天然药物化学
引用回帖:
3楼
:
Originally posted by
jiyannangxj
at 2016-07-01 13:08:35
门外汉,你不查reaxys数据库,靠蒙还行?!
准确的说,我不是门外汉,我是对门的,不沾边
赞
一下
回复此楼
5楼
2016-07-01 13:50:25
已阅
关注TA
给TA发消息
送TA红花
TA的回帖
查看全部 11 个回答
信息提示
关闭
请填处理意见
关闭
确定