| ²é¿´: 1278 | »Ø¸´: 5 | ||||
| ±¾Ìû²úÉú 1 ¸ö ICEPI £¬µã»÷ÕâÀï½øÐв鿴 | ||||
JOHO5574гæ (ÕýʽдÊÖ)
|
[ÇóÖú]
µç¼«µçÊÆ ÒÑÓÐ2È˲ÎÓë
|
|||
|
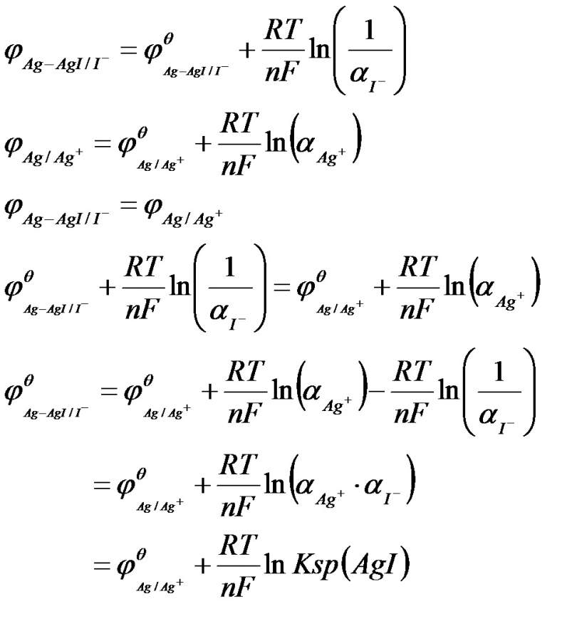
ΪʲôÇóAgI/AgµÄ±ê×¼µç¼«µçÊÆÊ±£¬×îºóÒ»ÏîÊÇKsp/£ÛI¡¥£Ý,¶øÇóAgB/AgµÄʱºò×îºóÒ»ÏîÖÐÖ±½ÓÊÇäå»¯ÒøµÄKsp? ·¢×ÔСľ³æAndroid¿Í»§¶Ë |
» ÊÕ¼±¾ÌûµÄÌÔÌûר¼ÍƼö
¡¾¹Ù·½¡¿ÎÞ»úÎﻯ |
» ²ÂÄãϲ»¶
[Î人·ÄÖ¯´óѧ]²ÄÁÏѧԺ[½ªÎ°ÍŶÓÃû³Æ]¿ÎÌâ×é-2026Äê˶ʿÑо¿Éúµ÷¼ÁÐÅÏ¢
ÒѾÓÐ0È˻ظ´
Î人·ÄÖ¯´óѧ-²ÄÁÏ¿ÆÑ§Ó빤³ÌѧԺ-½ªÎ°½ÜÇàÍŶÓ-Õе÷¼Á
ÒѾÓÐ0È˻ظ´
Óлú¸ß·Ö×Ó²ÄÁÏÂÛÎÄÈóÉ«/·ÒëÔõôÊÕ·Ñ?
ÒѾÓÐ213È˻ظ´
ÉúÎïҽѧ²ÄÁÏÇ°ÑØ¿ÆÆÕ£ºµÍÃܶȡ¢¸ß¿×϶Âʵġ°¶à¿×΢Çò¡±ºËÐļ¼ÊõÓëÓ¦ÓÃÈ«¾°
ÒѾÓÐ1È˻ظ´
ºþÄϹ¤Òµ´óѧÖܹóÒú×éÕÐÉúÎïҽѧ¹¤³Ì£¨Ñ§Ë¶07¡¢08¶¼ÐУ©¡¢ÉúÎïÓëÒ½Ò©£¨×¨Ë¶08£©Ë¶Ê¿Éú
ÒѾÓÐ0È˻ظ´
ºþÄϹ¤Òµ´óѧÖܹóÒú×éÕÐÉúÎïҽѧ¹¤³Ì£¨Ñ§Ë¶07¡¢08¶¼ÐУ©ºÍÉúÎïÓëÒ½Ò©£¨×¨Ë¶08£©Ë¶Ê¿Éú
ÒѾÓÐ0È˻ظ´
¿¼ÑÐÇóµ÷¼Á
ÒѾÓÐ0È˻ظ´
2026ÄêÖÐÄÏÃñ×å´óѧ»¯Ñ§Óë²ÄÁÏ¿ÆÑ§Ñ§Ôºµ÷¼Á¹«¸æ
ÒѾÓÐ40È˻ظ´
Î人·ÄÖ¯´óѧÕÐÉúÎï²ÄÁÏ¡¢»¯Ñ§¡¢¸ß·Ö×ÓÏà¹Ø×¨ÒµË¶Ê¿Éú
ÒѾÓÐ0È˻ظ´
Î人·ÄÖ¯´óѧÕÐÉúÎï²ÄÁÏ¡¢»¯Ñ§¡¢¸ß·Ö×ÓÏà¹Ø×¨ÒµË¶Ê¿Éú-ÁíÓÐÉÙÁ¿Ê¿±ø¼Æ»®¿É×Éѯ
ÒѾÓÐ0È˻ظ´
[Î人·ÄÖ¯´óѧ]²ÄÁÏѧԺ[½ªÎ°ÍŶÓÃû³Æ]¿ÎÌâ×é-2026Äê˶ʿÑо¿Éúµ÷¼ÁÐÅÏ¢
ÒѾÓÐ0È˻ظ´
¹ÈÖÐÃ÷
ÖÁ×ðľ³æ (ÖøÃûдÊÖ)
- ICEPI: 19
- Ó¦Öú: 1264 (½²Ê¦)
- ¹ó±ö: 0.482
- ½ð±Ò: 24134.7
- ºì»¨: 182
- Ìû×Ó: 2913
- ÔÚÏß: 1911.3Сʱ
- ³æºÅ: 1883403
- ×¢²á: 2012-07-08
- ÐÔ±ð: GG
- רҵ: ÈÈÁ¦Ñ§
¡¾´ð°¸¡¿Ó¦Öú»ØÌû
¡ï ¡ï ¡ï ¡ï ¡ï ¡ï
¸Ðл²ÎÓ룬ӦÖúÖ¸Êý +1
±ùµã½µÎÂ: ½ð±Ò+3, ICEPI+1, ллר¼Ò»ØÌû£¬ÐÁ¿àÀ²£¡ 2016-06-30 16:05:18
JOHO5574(±ùµã½µÎ´ú·¢): ½ð±Ò+3 2016-06-30 16:06:02
¸Ðл²ÎÓ룬ӦÖúÖ¸Êý +1
±ùµã½µÎÂ: ½ð±Ò+3, ICEPI+1, ллר¼Ò»ØÌû£¬ÐÁ¿àÀ²£¡ 2016-06-30 16:05:18
JOHO5574(±ùµã½µÎ´ú·¢): ½ð±Ò+3 2016-06-30 16:06:02
6Â¥2016-06-30 14:20:54
gbs5910
ÖÁ×ðľ³æ (Ö°Òµ×÷¼Ò)
- Ó¦Öú: 85 (³õÖÐÉú)
- ½ð±Ò: 20322.4
- É¢½ð: 306
- ºì»¨: 8
- Ìû×Ó: 4696
- ÔÚÏß: 271Сʱ
- ³æºÅ: 117635
- ×¢²á: 2005-11-26
- ÐÔ±ð: GG
- רҵ: ÓлúºÏ³É

2Â¥2016-06-29 22:38:42
gbs5910
ÖÁ×ðľ³æ (Ö°Òµ×÷¼Ò)
- Ó¦Öú: 85 (³õÖÐÉú)
- ½ð±Ò: 20322.4
- É¢½ð: 306
- ºì»¨: 8
- Ìû×Ó: 4696
- ÔÚÏß: 271Сʱ
- ³æºÅ: 117635
- ×¢²á: 2005-11-26
- ÐÔ±ð: GG
- רҵ: ÓлúºÏ³É

3Â¥2016-06-29 22:41:04
jiagle
ר¼Ò¹ËÎÊ (ÖªÃû×÷¼Ò)
-

ר¼Ò¾Ñé: +5165 - ICEPI: 166
- Ó¦Öú: 5678 (¸±½ÌÊÚ)
- ¹ó±ö: 2.513
- ½ð±Ò: 84732.4
- É¢½ð: 10041
- ºì»¨: 513
- Ìû×Ó: 8620
- ÔÚÏß: 1197.9Сʱ
- ³æºÅ: 1960227
- ×¢²á: 2012-08-28
- ÐÔ±ð: GG
- רҵ: ÎÞ»ú²ÄÁÏ»¯Ñ§
- ¹ÜϽ: ÎÞ»ú/Îﻯ
¡¾´ð°¸¡¿Ó¦Öú»ØÌû
¡ï ¡ï ¡ï
¸Ðл²ÎÓ룬ӦÖúÖ¸Êý +1
±ùµã½µÎÂ: ½ð±Ò+1, ллר¼Ò»ØÌû£¬ÐÁ¿àÀ²£¡ 2016-06-30 16:04:47
JOHO5574(±ùµã½µÎ´ú·¢): ½ð±Ò+2 2016-06-30 16:05:44
¸Ðл²ÎÓ룬ӦÖúÖ¸Êý +1
±ùµã½µÎÂ: ½ð±Ò+1, ллר¼Ò»ØÌû£¬ÐÁ¿àÀ²£¡ 2016-06-30 16:04:47
JOHO5574(±ùµã½µÎ´ú·¢): ½ð±Ò+2 2016-06-30 16:05:44
|
Çó±ê×¼µç¼«µçÊÆÊ±£¬ËùÒÔÎïÖʵÄŨ¶È¶¼ÊÇ1£¬ËùÒÔÖ±½ÓÓÃKsp¾Í¿ÉÒÔÁË¡£ ¶øÇó·Ç±ê×¼µç¼«µçÊÆÊ±£¬Èç¹û[I-]Óб仯£¬Ôò[Ag+]µ±È»Ò²±ä»¯£¬±ØÐë¸ù¾Ý[I-]µÄ±ä»¯¶øÇó³ö¡£ |
4Â¥2016-06-30 08:05:04
JOHO5574
гæ (ÕýʽдÊÖ)
- Ó¦Öú: 17 (СѧÉú)
- ½ð±Ò: 1454.7
- É¢½ð: 205
- ºì»¨: 2
- Ìû×Ó: 714
- ÔÚÏß: 172.1Сʱ
- ³æºÅ: 4160320
- ×¢²á: 2015-10-20
- ÐÔ±ð: GG
- רҵ: ÓлúºÏ³É
|
ÉÏÃæÁ½¸ö¶¼ÊǸù¾ÝµÚÒ»Àà¿ÉÄæµç¼«µÄ·Ç±ê×¼µç¼«µçÊÆÇóµÚ¶þÀà¿ÉÄæµç¼«µÄ±ê×¼µç¼«µçÊÆ£¬ÓÉÓÚÊǸù¾ÝAg+/Ag·Ç±ê×¼µç¼«µçÊÆÇóµÄ£¬ËùÒÔÁ½¸öµÄ£ÛAg+£Ý²»Ó¦¸Ã¶¼ÊǸù¾ÝKsp/£Ûl¡¥£Ý»òKsp/£ÛCl¡¥£ÝÇóÈ¡Â𣿠·¢×ÔСľ³æAndroid¿Í»§¶Ë |
5Â¥2016-06-30 09:28:52













»Ø¸´´ËÂ¥