| ²é¿´: 1758 | »Ø¸´: 6 | ||
helensweat½ð³æ (СÓÐÃûÆø)
|
[ÇóÖú]
Çó½ÌÍÓÂÝÒÇÎÊÌâ ÒÑÓÐ1È˲ÎÓë
|
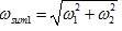
| ÇëÎÊÒÑÖªÁ½ÖáÍÓÂÝÒÇÊä³öµÄÁ½¸ö½ÇËÙ¶ÈÊý¾Ýw1ºÍw2£¬Ôõô¿ÉÒÔ¼ÆËã³ö×ܵĽÇËÙ¶ÈwÄØ£¿Ð»Ð» |
» ²ÂÄãϲ»¶
½²Ê¦Éí·ÝÉêÇëÃæÉÏÏîÄ¿ÖбêÂÊÓÐÓ°ÏìÂð
ÒѾÓÐ32È˻ظ´
08¹¤¿ÆÇóµ÷¼Á
ÒѾÓÐ1È˻ظ´
¹¤³ÌÈÈÎïÀíÓëÄÜÔ´ÀûÓÃÂÛÎÄÈóÉ«/·ÒëÔõôÊÕ·Ñ?
ÒѾÓÐ76È˻ظ´
¡¾²©Ê¿ÕÐÉú¡¿ÄϾ©ÁÖÒµ´óѧ³µÁ¾¹¤³Ì¿ÎÌâ×éÕÐÊÕ26Äê9ÔÂÈëѧ¡°ÉêÇë-¿¼ºËÖÆ¡±²©Ê¿Ñо¿Éú
ÒѾÓÐ16È˻ظ´
Ï£ÍûÃæÉϺÃÔË
ÒѾÓÐ75È˻ظ´
OLGAÈí¼þÇå¹ÜÄ£Äâ ΪʲôÀÏÊÇÇå¹Ü·½ÏòÏà·´ ÔõôÐÞ¸Ä
ÒѾÓÐ0È˻ظ´
ÖйúµØÖÊ´óѧ£¨±±¾©£©É̽²âÓë³ÉÏñÈ«¹úÖØµãʵÑéÊÒ³ÏÑûÈ«ÇòÓ¢²ÅÉ걨 2026 Ä꺣ÍâÓÅÇà
ÒѾÓÐ0È˻ظ´
º½¿Õ¹¤³Ì363·ÖÇóµ÷¼Á
ÒѾÓÐ8È˻ظ´
¶¯Á¦¹¤³ÌÇóµ÷¼Á
ÒѾÓÐ0È˻ظ´
11408 369·Öµ÷¼ÁÇóÖú
ÒѾÓÐ2È˻ظ´
Ïôó¹«ÎÀÕÐÊÕÈ˹¤ÖÇÄܵÈÏà¹Ø×¨Òµµ÷¼Á
ÒѾÓÐ0È˻ظ´
afu2007
Ìú¸Ëľ³æ (Ö°Òµ×÷¼Ò)
- Ó¦Öú: 19 (СѧÉú)
- ½ð±Ò: 11222.7
- É¢½ð: 32
- ºì»¨: 1
- Ìû×Ó: 3561
- ÔÚÏß: 729.8Сʱ
- ³æºÅ: 801526
- ×¢²á: 2009-06-30
- ÐÔ±ð: GG
- רҵ: µ¼º½¡¢ÖƵ¼Óë´«¸Ð¼¼Êõ
2Â¥2016-06-29 20:34:08
helensweat
½ð³æ (СÓÐÃûÆø)
- Ó¦Öú: 0 (Ó×¶ùÔ°)
- ½ð±Ò: 1355.4
- É¢½ð: 20
- Ìû×Ó: 54
- ÔÚÏß: 77.9Сʱ
- ³æºÅ: 3306741
- ×¢²á: 2014-07-04
- ÐÔ±ð: MM
- רҵ: Ìý¾õÒì³£ÓëÆ½ºâÕϰ
3Â¥2016-06-29 20:41:24
ÄäÃû
Óû§×¢Ïú (ÖªÃû×÷¼Ò)
ССÂëÅ©
- Ó¦Öú: 79 (³õÖÐÉú)
- ¹ó±ö: 0.06
- ½ð±Ò: 2617.4
- É¢½ð: 13563
- ºì»¨: 365
- ɳ·¢: 16
- Ìû×Ó: 6102
- ÔÚÏß: 1083.6Сʱ
- ³æºÅ: 0
- ×¢²á: 2013-01-28
- ÐÔ±ð: GG
- רҵ: ÖÆÔìϵͳÓë×Ô¶¯»¯
- ¹ÜϽ: »úе
4Â¥2016-06-29 21:16:10
afu2007
Ìú¸Ëľ³æ (Ö°Òµ×÷¼Ò)
- Ó¦Öú: 19 (СѧÉú)
- ½ð±Ò: 11222.7
- É¢½ð: 32
- ºì»¨: 1
- Ìû×Ó: 3561
- ÔÚÏß: 729.8Сʱ
- ³æºÅ: 801526
- ×¢²á: 2009-06-30
- ÐÔ±ð: GG
- רҵ: µ¼º½¡¢ÖƵ¼Óë´«¸Ð¼¼Êõ
¡¾´ð°¸¡¿Ó¦Öú»ØÌû
¡ï ¡ï ¡ï ¡ï ¡ï ¡ï ¡ï ¡ï ¡ï ¡ï
helensweat: ½ð±Ò+10, ¡ï¡ï¡ïºÜÓаïÖú, лл°¡ 2016-07-01 09:11:56
helensweat: ½ð±Ò+10, ¡ï¡ï¡ïºÜÓаïÖú, лл°¡ 2016-07-01 09:11:56
|
ÔÚÊäÈëÖáÕý½»µÄÇé¿öÏ£¬ÊÇÕâÑùµÄ¡£ ·¢×ÔСľ³æAndroid¿Í»§¶Ë |
5Â¥2016-06-30 06:35:33
³ÂȺ¿
гæ (СÓÐÃûÆø)
- Ó¦Öú: 0 (Ó×¶ùÔ°)
- ½ð±Ò: 714.2
- É¢½ð: 100
- Ìû×Ó: 174
- ÔÚÏß: 47.8Сʱ
- ³æºÅ: 4310739
- ×¢²á: 2015-12-25
- ÐÔ±ð: GG
- רҵ: »úе¶¯Á¦Ñ§
6Â¥2016-07-04 00:10:24
»úеÉÙÄê
гæ (³õÈëÎÄ̳)
- Ó¦Öú: 0 (Ó×¶ùÔ°)
- ½ð±Ò: 15
- Ìû×Ó: 5
- ÔÚÏß: 12·ÖÖÓ
- ³æºÅ: 7416148
- ×¢²á: 2017-11-02
7Â¥2017-11-03 01:06:43














»Ø¸´´ËÂ¥
