²é¿´: 174  |  »Ø¸´: 0

ÆÕÀ­´ï´ï´ï

ľ³æ (ÕýʽдÊÖ)

[ÇóÖú] ÇóÖú´óÉñ£¡£¡£¡ÈçÏ»ý·ÖÔõÑùËãÄØ£¿×½¼±°¡£¡¹òл

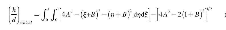
ÈçÌ⣬ÏÂÃæµÄ»ý·ÖÔõÑùËã°¡£¬ÎÞÄθßÊý²»ºÃ£¬»¹Çó¸÷λ´óÉñ°ïæ°¡£¡×¢£ºÊ½ÖÐA¡¢BÊdz£Êý¡£

ÇóÖú´óÉñ£¡£¡£¡ÈçÏ»ý·ÖÔõÑùËãÄØ£¿×½¼±°¡£¡¹òл
ͼƬ1.jpg
»Ø¸´´ËÂ¥

» ²ÂÄãϲ»¶

ÒÑÔÄ   »Ø¸´´ËÂ¥   ¹Ø×¢TA ¸øTA·¢ÏûÏ¢ ËÍTAºì»¨ TAµÄ»ØÌû
Ïà¹Ø°æ¿éÌø×ª ÎÒÒª¶©ÔÄÂ¥Ö÷ ÆÕÀ­´ï´ï´ï µÄÖ÷Ìâ¸üÐÂ
×î¾ßÈËÆøÈÈÌûÍÆ¼ö [²é¿´È«²¿] ×÷Õß »Ø/¿´ ×îºó·¢±í
[¿¼ÑÐ] Ò»Ö¾Ô¸¶«»ª´óѧ¿ØÖÆÑ§Ë¶320Çóµ÷¼Á +3 Grand777 2026-03-21 3/150 2026-03-21 19:23 by ¼òÖ®-
[¿¼ÑÐ] 0703»¯Ñ§µ÷¼Á £¬Áù¼¶Òѹý£¬ÓпÆÑо­Àú +14 êØÎõÙâ 2026-03-15 14/700 2026-03-21 19:12 by ColorlessPI
[¿¼ÑÐ] Çóµ÷¼Á +4 ÒªºÃºÃÎÞÁÄ 2026-03-21 4/200 2026-03-21 18:57 by ѧԱ8dgXkO
[¿¼ÑÐ] ¹¤¿Æ0856Çóµ÷¼Á +3 ãåÎö͡͡ 2026-03-21 3/150 2026-03-21 18:30 by ѧԱ8dgXkO
[¿¼ÑÐ] 297Çóµ÷¼Á +11 Ï·¾«µ¤µ¤µ¤ 2026-03-17 12/600 2026-03-21 17:47 by ColorlessPI
[¿¼ÑÐ] 0805²ÄÁÏ320Çóµ÷¼Á +3 ÉÎïÓï 2026-03-20 3/150 2026-03-21 15:46 by Î޼ʵIJÝÔ­
[¿¼ÑÐ] 22 350 ±¾¿Æ985Çóµ÷¼Á£¬ÇóÀϵÇÊÕÁô +3 ÀîéóÄÐ003 2026-03-20 3/150 2026-03-21 13:28 by ²«»÷518
[¿¼ÑÐ] 306Çóµ÷¼Á +4 chuanzhu´¨Öò 2026-03-18 4/200 2026-03-21 08:25 by laoshidan
[¿¼ÑÐ] »¯Ñ§Çóµ÷¼Á +4 ÁÙÔó¾³llllll 2026-03-17 5/250 2026-03-21 02:23 by JourneyLucky
[¿¼ÑÐ] Ò»Ö¾Ô¸ ÄϾ©º½¿Õº½Ìì´óѧ´óѧ £¬080500²ÄÁÏ¿ÆÑ§Ó빤³Ìѧ˶ +5 @taotao 2026-03-20 5/250 2026-03-20 20:16 by JourneyLucky
[¿¼ÑÐ] Çóµ÷¼Á +3 °µÓ¿afhb 2026-03-16 3/150 2026-03-20 00:28 by ºÓÄÏ´óѧУÓÑ
[¿¼ÑÐ] 0703»¯Ñ§µ÷¼Á +4 18889395102 2026-03-18 4/200 2026-03-19 16:13 by 30660438
[¿¼ÑÐ] ±¾¿ÆÖ£ÖÝ´óѧÎïÀíѧԺ£¬Ò»Ö¾Ô¸»ª¿Æ070200ѧ˶£¬346Çóµ÷¼Á +4 ÎÒ²»ÊÇÒ»¸ù´Ð 2026-03-18 4/200 2026-03-19 09:11 by ¸¡ÔÆ166
[¿¼ÑÐ] 0854¿É¿çµ÷¼Á£¬Ò»×÷Ò»ÏîºËÐÄÂÛÎÄÎåÏîרÀû£¬Ê¡¡¢¹ú¼¶Ö¤Êé40+ÊýÒ»Ó¢Ò»287 +8 СÀî0854 2026-03-16 8/400 2026-03-18 14:35 by ²«»÷518
[¿¼ÑÐ] 0854£¬¼ÆËã»úÀàÕÐÊÕµ÷¼Á +3 ºúÀ±ÌÀ·ÅÌÇ 2026-03-15 6/300 2026-03-18 12:09 by Éϰ¶Éϰ¶¡­¡­..
[¿¼ÑÐ] ÉúÎïѧ071000 329·ÖÇóµ÷¼Á +3 ÎÒ°®ÉúÎïÉúÎﰮΠ2026-03-17 3/150 2026-03-18 10:12 by macy2011
[¿¼ÑÐ] 290Çóµ÷¼Á +3 p asserby. 2026-03-15 4/200 2026-03-17 16:35 by wangkm
[¿¼ÑÐ] ÓÐûÓеÀÌú/ÍÁľµÄÏëµ÷¼ÁÄÏÁÖ£¬¸ø×Ô¼ºÕÐʦµÜÖС« +3 TqlXswl 2026-03-16 7/350 2026-03-17 15:23 by TqlXswl
[¿¼ÑÐ] 070300»¯Ñ§Ñ§Ë¶Çóµ÷¼Á +6 Ì«Ïë½ø²½ÁË0608 2026-03-16 6/300 2026-03-16 16:13 by kykm678
[¿¼ÑÐ] ÖпÆÔº²ÄÁÏ273Çóµ÷¼Á +4 yzydy 2026-03-15 4/200 2026-03-16 15:59 by Gaodh_82
ÐÅÏ¢Ìáʾ
ÇëÌî´¦ÀíÒâ¼û