| 查看: 1152 | 回复: 5 | ||
汪杰0813129铜虫 (初入文坛)
|
[求助]
电压范围选择
|
|
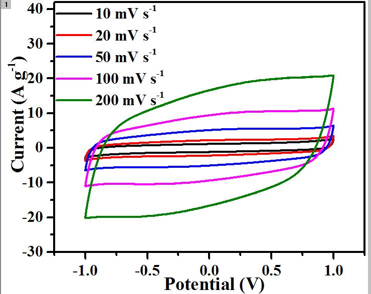
各位大神: 刚刚接触电化学,很多问题不懂,想请教大神们!我在测试我的合成的rGO超级电容器时,发现CV和充放电的电压区间都可以为-1至1,但是文献中相关的电压范围一般都为0至1V或者-0.2至0.8。我想问一下这个电压范围怎么选?我想问一下,电压范围和和你测试使用三电极还是二电极有关吗? |
» 猜你喜欢
青岛大学化学化工学院2026年招收调剂硕士研究生
已经有0人回复
新能源材料方向考研调剂招生(长江师范学院)
已经有0人回复
分析化学论文润色/翻译怎么收费?
已经有263人回复
0854电子信息272求调剂!
已经有0人回复
化学-化工-材料-食品-生物-环境2026年研究生调剂(可以不考数学)
已经有0人回复
化学-化工-材料-食品-生物-环境-农业 2026年研究生调剂(可以不考数学)
已经有1人回复
070300一志愿211,312分求调剂院校
已经有4人回复
26年储能、电池方向博士申请
已经有0人回复
070300化学求调剂
已经有3人回复
青岛大学化学化工学院2026年招收调剂硕士研究生
已经有0人回复
北方工业大学085808储能技术-02方向(电池)接收调剂生
已经有0人回复

★ ★ ★ ★
感谢参与,应助指数 +1
louderbe: 金币+1 2016-06-28 13:30:24
汪杰0813129: 金币+3, ★★★很有帮助 2016-07-18 13:23:46
感谢参与,应助指数 +1
louderbe: 金币+1 2016-06-28 13:30:24
汪杰0813129: 金币+3, ★★★很有帮助 2016-07-18 13:23:46
2楼2016-06-28 13:27:34
汪杰0813129
铜虫 (初入文坛)
- 应助: 0 (幼儿园)
- 金币: 106
- 帖子: 40
- 在线: 19.1小时
- 虫号: 1281147
- 注册: 2011-04-29
- 性别: GG
- 专业: 高分子合成化学

3楼2016-06-28 14:17:40
汪杰0813129
铜虫 (初入文坛)
- 应助: 0 (幼儿园)
- 金币: 106
- 帖子: 40
- 在线: 19.1小时
- 虫号: 1281147
- 注册: 2011-04-29
- 性别: GG
- 专业: 高分子合成化学

4楼2016-06-28 14:19:53
424588043
新虫 (正式写手)
- 应助: 4 (幼儿园)
- 金币: 1914.7
- 散金: 354
- 红花: 5
- 帖子: 753
- 在线: 94.9小时
- 虫号: 4281904
- 注册: 2015-12-11
- 性别: MM
- 专业: 电化学
5楼2016-06-28 14:21:25
solosoull
木虫 (正式写手)
- 应助: 64 (初中生)
- 金币: 5034.6
- 散金: 20
- 红花: 23
- 帖子: 999
- 在线: 252.5小时
- 虫号: 2588278
- 注册: 2013-08-08
- 性别: GG
- 专业: 电化学
6楼2016-06-29 07:46:25














回复此楼