| 查看: 408 | 回复: 1 | ||
新手已上路木虫 (职业作家)
|
[交流]
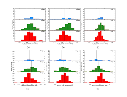
新疆天文台大质量恒星形成区演化阶段的化学示踪研究获进展 已有1人参与
|

2楼2016-06-26 18:09:36













回复此楼
