±±¾©Ê¯ÓÍ»¯¹¤Ñ§Ôº2026ÄêÑо¿ÉúÕÐÉú½ÓÊÕµ÷¼Á¹«¸æ
²é¿´: 548  |  »Ø¸´: 0

xiaoheinaha

Í­³æ (³õÈëÎÄ̳)

[ÇóÖú] ansys ·ÇÏßÐÔ·ÖÎö Çó½âÉèÖÃÎÊÌâ

ÈçÌâ~
ÀûÓÃansys ¶ÔÒ»¸ö¿ò¼Ü½á¹¹½øÐзÇÏßÐÔ·ÖÎö£¬¿ò¼Ü½á¹¹µÄÒ»¶Ë ¹Ì¶¨£¬ÁíÒ»¶Ë ²ÉÓÃÎ»ÒÆ¼ÓÔØ£¬
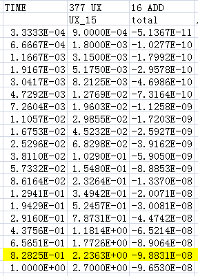
Çó½âʱ£¬ÉèÖÃ×Ó²¿Êý1000£¬²ÉÓÃ×Ô¶¯Ôغɲ½~~ÎÊÌâ¾ÍÊDzÉÓÃ×Ô¶¯Ôغɲ½ºó£¬ºó´¦Àíʱ½á¹ûÈçͼËùʾ£¬¿ÉÒÔÓõÄÊý¾ÝÌ«ÉÙÁË£¬Ëæ×Åʱ¼äµÄ±ä»¯£¬Î»ÒÆ¿ÉÓõĵãÌ«ÉÙÁË~
      ÎÒµÄÄ¿µÄ¾ÍÊÇÏëÖªµÀ£¬ÔÚ¶à´óµÄÎ»ÒÆÔØºÉÏ£¬¹Ì¶¨¶ËµÄÖ§·´Á¦×ܺʹﵽ×î´ó¡£¡£ËùÒÔÎÒÏ£ÍûÓÐÓиü¶àµÄ×Ó²½¡£
Èç¹û²»×Ô¶¯Ôغɲ½£¬»òÕßÉèÖÃ×îСµÄ×Ó²½Êý£¬ÀíÂÛÉϾͿÉÒԵõ½1000¸öµã»òÕ߸ü¶à¿ÉÒÔÓõĵ㣬ÎÊÌâÓÖÀ´Á˾ÍÊÇ£¬ÍêÈ«Ëã²»³öÀ´£¬ËãÒ»»á¾Í²»ÊÕÁ²~~~

ÄÄλ´óÉñ¶®Õâ¸ö£¬¿ÉÒÔÖ¸½ÌÒ»ÏÂÂ𣿷dz£·Ç³£¸Ðл~~

ansys ·ÇÏßÐÔ·ÖÎö Çó½âÉèÖÃÎÊÌâ
QQ½ØÍ¼20160624111151.png
»Ø¸´´ËÂ¥

» ²ÂÄãϲ»¶

ÒÑÔÄ   »Ø¸´´ËÂ¥   ¹Ø×¢TA ¸øTA·¢ÏûÏ¢ ËÍTAºì»¨ TAµÄ»ØÌû
Ïà¹Ø°æ¿éÌø×ª ÎÒÒª¶©ÔÄÂ¥Ö÷ xiaoheinaha µÄÖ÷Ìâ¸üÐÂ
×î¾ßÈËÆøÈÈÌûÍÆ¼ö [²é¿´È«²¿] ×÷Õß »Ø/¿´ ×îºó·¢±í
[¿¼ÑÐ] 286Çóµ÷¼Á +13 Faune 2026-04-06 13/650 2026-04-06 22:35 by chenzhimin
[¿¼ÑÐ] 266·Ö£¬Ò»Ö¾Ô¸µçÆø¹¤³Ì£¬±¾¿Æ²ÄÁÏ£¬Çó²ÄÁÏרҵµ÷¼Á +9 ÍÛºôºßºôºß 2026-04-02 10/500 2026-04-06 19:47 by jean5056
[¿¼ÑÐ] Ò»Ö¾Ô¸±±¾©2£¬²ÄÁÏÓ뻯¹¤308Çóµ÷¼Á +13 ÐܶþÏëÉϰ¶ 2026-04-04 14/700 2026-04-06 19:42 by guanxin1001
[¿¼ÑÐ] 071000ÉúÎïѧµ÷¼Á +7 À­ÌáÌÒ 2026-04-06 7/350 2026-04-06 18:55 by 52305043001
[¿¼ÑÐ] 085410È˹¤ÖÇÄÜ ³õÊÔ316·Ö Çóµ÷¼Á +7 ²ÐÐÇ·÷Êï 2026-03-31 7/350 2026-04-06 10:09 by À¶ÔÆË¼Óê
[¿¼ÑÐ] 0703Çóµ÷¼Á383·Ö +9 W55j 2026-04-03 9/450 2026-04-06 06:50 by houyaoxu
[¿¼ÑÐ] 081700ѧ˶£¬323·Ö£¬Ò»Ö¾Ô¸Öйúº£Ñó´óѧÇóµ÷¼ÁѧУ +16 ÅûÐÇºÓ 2026-04-04 16/800 2026-04-05 11:27 by Öí»á·É
[¿¼ÑÐ] 292Çóµ÷¼Á +11 2022080213 2026-04-04 13/650 2026-04-04 18:38 by macy2011
[¿¼ÑÐ] ¿¼Ñе÷¼Á +3 15615482637 2026-04-03 3/150 2026-04-03 22:50 by ms629
[¿¼ÑÐ] µ÷¼Á +5 asdasdassda 2026-04-03 6/300 2026-04-03 20:27 by °¶ÉϵÄÒ»ÌõÓã
[¿¼ÑÐ] ²ÄÁÏר˶322·Ö +13 ¹þ¹þ¹þºðºðºð¹þ 2026-04-01 13/650 2026-04-03 16:08 by ŶŶ123
[¿¼ÑÐ] 313Çóµ÷¼Á +3 ¡«Î¢Î¢Á¹¡« 2026-04-03 3/150 2026-04-03 11:25 by à£à£à£0119
[¿¼ÑÐ] Çóµ÷¼Á +3 ÐÄÏëÊÂ³É¿É 2026-04-03 3/150 2026-04-03 11:22 by wangjy2002
[¿¼ÑÐ] 285Çóµ÷¼Á +14 AZMK 2026-04-02 14/700 2026-04-02 15:54 by ÉϾÅÌìÀ¿Ô£¨ºÃÔ
[¿¼ÑÐ] ¡¾Çóµ÷¼Á¡¿ÐÂÄÜÔ´²ÄÁϱ¾¿Æ£¬Ò»Ö¾Ô¸211£¬³õÊÔ321 +6 Çóµ÷¼ÁѧУ£¬ 2026-04-02 6/300 2026-04-02 09:41 by Çç¿Õ210210
[¿¼ÑÐ] ²ÄÁϵ÷¼Á +12 Ò»ÑùYWY 2026-04-01 12/600 2026-04-02 09:15 by olim
[¿¼ÑÐ] 302Çóµ÷¼ÁÒ»Ö¾Ô¸±±º½070300£¬±¾¿ÆÖ£´ó»¯Ñ§ +8 Ê¥ÈÕ¶úÂüÌõ 2026-04-01 11/550 2026-04-02 07:40 by chemdavid
[¿¼ÑÐ] ʡ˫һÁ÷ÖØµãÒ»±¾´óѧÕÐÊÕµ÷¼Á +4 wwwwffffff 2026-03-31 7/350 2026-04-01 15:23 by wwwwffffff
[¿¼ÑÐ] Çóµ÷¼Á +4 DADA¹Ö 2026-03-31 4/200 2026-04-01 14:30 by ZXlzxl0425
[¿¼ÑÐ] 262Çóµ÷¼Á +9 ÀøÖ¾Ò»¶¨·¢ÎÄÕ 2026-03-31 10/500 2026-04-01 12:22 by sunshine0013
ÐÅÏ¢Ìáʾ
ÇëÌî´¦ÀíÒâ¼û