| 查看: 5707 | 回复: 0 | ||
[求助]
Fluent中残差的含义?
|
|
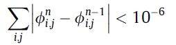
图1是Fluent中user guide——“globally scaled” residual具体代表什么意思呢?是所有网格的不平衡,或称之为残差的累积吗? 图2是文献中的,指的是在一个时间步内,对某个变量φ在第n次迭代与第n-1次迭代差在所有单元的总和。这种限定每个时间步的变量差距小到一定程度,则可进行下一时间步的计算。 Fluent中可以这么设吗? 求赐教 ![]() 1.JPG 2.JPG |
» 猜你喜欢
材料与化工371求调剂
已经有5人回复
328分调剂
已经有4人回复
295求调剂
已经有7人回复
081700,311,求调剂
已经有13人回复
283分求调剂
已经有6人回复
0854求调剂
已经有3人回复
332求调剂
已经有4人回复
284求调剂
已经有5人回复
304求调剂(085602,过四级,一志愿985)
已经有11人回复
0817化学工程与技术求调剂,一志愿中海洋319
已经有10人回复















回复此楼