| 查看: 2131 | 回复: 2 | |
超级考试虫金虫 (小有名气)
|
[求助]
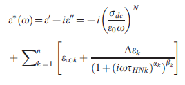
求助大神介电松弛中的Havriliak-negami公式拟合介电频率谱是如何拟合的
|
![]() |
|
|
|
|
|
2楼2018-10-22 21:06:23
|
|
|
3楼2024-12-24 22:48:46
|
|













回复此楼

