| 查看: 264 | 回复: 1 | ||
[求助]
阅读文献有些不太明白,请指教 已有1人参与
|
|
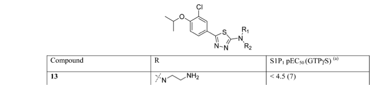
这个后面GTP伽马ec30是什么意思啊 发自小木虫IOS客户端 |
» 猜你喜欢
284求调剂
已经有3人回复
085601一志愿中山大学深圳材料工程330求调剂
已经有3人回复
一志愿北化085600材料专硕275|有文章专利|求调剂
已经有12人回复
材料专业申博
已经有4人回复
311求调剂一志愿合肥工业大学
已经有5人回复
070300化学279求调剂
已经有6人回复
材料与化工(0856)304求B区调剂
已经有9人回复
085601 329分调剂
已经有3人回复
本2一志愿C9-333分,材料科学与工程,求调剂
已经有3人回复
一志愿大连理工大学材料求调剂
已经有5人回复
samule1978
铁杆木虫 (正式写手)
- 应助: 125 (高中生)
- 金币: 5462.5
- 红花: 18
- 帖子: 782
- 在线: 214.3小时
- 虫号: 4139362
- 注册: 2015-10-13
- 性别: GG
- 专业: 中药质量评价
2楼2016-06-21 17:23:26














回复此楼