±±¾©Ê¯ÓÍ»¯¹¤Ñ§Ôº2026ÄêÑо¿ÉúÕÐÉú½ÓÊÕµ÷¼Á¹«¸æ
²é¿´: 265  |  »Ø¸´: 0

¸ß°ÁµÄ»Øíø

гæ (³õÈëÎÄ̳)

[ÇóÖú] ÇóÖú

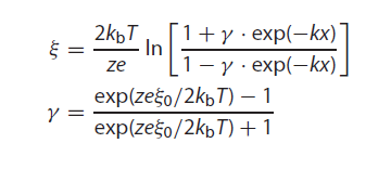
СµÜÕýÔÚÑо¿ÄÉÃײÄÁÏ·ÖÉ¢£¬ÄÄλ´óÉñÄܸøÐ¡µÜ½âÊÍÒ»ÏÂÕâ¸ö¹«Ê½£¬¸Ð¼¤²»¾¡¡£½ð±ÒÈ«²¿·îÉÏ¡£

ÇóÖú
filehelper_1466417735378_33.png
»Ø¸´´ËÂ¥

» ²ÂÄãϲ»¶

» ±¾Ö÷ÌâÏà¹ØÉ̼ÒÍÆ¼ö: (ÎÒÒ²ÒªÔÚÕâÀïÍÆ¹ã)

¾¡ÈËÊ ÌýÌìÃü
ÒÑÔÄ   »Ø¸´´ËÂ¥   ¹Ø×¢TA ¸øTA·¢ÏûÏ¢ ËÍTAºì»¨ TAµÄ»ØÌû
Ïà¹Ø°æ¿éÌø×ª ÎÒÒª¶©ÔÄÂ¥Ö÷ ¸ß°ÁµÄ»Øíø µÄÖ÷Ìâ¸üÐÂ
×î¾ßÈËÆøÈÈÌûÍÆ¼ö [²é¿´È«²¿] ×÷Õß »Ø/¿´ ×îºó·¢±í
[¿¼ÑÐ] Ò»Ö¾Ô¸±±¾©»¯¹¤´óѧ²ÄÁÏÓ뻯¹¤£¨085600£©296Çóµ÷¼Á +12 µ¾ÆÞС±à 2026-03-26 12/600 2026-03-29 01:04 by ÎÒÊÇС¿µ
[¿¼ÑÐ] 305Çóµ÷¼Á +7 RuiFairyrui 2026-03-28 7/350 2026-03-29 00:40 by 544594351
[¿¼ÑÐ] 356Çóµ÷¼Á +3 gysy?s?a 2026-03-28 3/150 2026-03-29 00:33 by 544594351
[¿¼ÑÐ] ѧ˶274Çóµ÷¼Á +9 LiÀîÓã 2026-03-26 9/450 2026-03-28 21:42 by bymhappy
[¿¼ÑÐ] 317·Ö Ò»Ö¾Ô¸ÄÏÀí¹¤²ÄÁϹ¤³Ì ±¾¿Æºþ¹¤´ó Çóµ÷¼Á +7 ÓóÄàСÁåîõ 2026-03-28 7/350 2026-03-28 21:38 by Сľ³ætim
[¿¼ÑÐ] ÉúÎïѧѧ˶£¬Ò»Ö¾Ô¸ºþÄÏ´óѧ£¬³õÊԳɼ¨338 +6 YYYYYNNNNN 2026-03-26 7/350 2026-03-28 20:52 by ÌÆãå¶ù
[¿¼ÑÐ] Ò»Ö¾Ô¸ÖÐÄÏ´óѧ»¯Ñ§0703×Ü·Ö337Çóµ÷¼Á +5 niko- 2026-03-27 5/250 2026-03-28 14:25 by ÌÆãå¶ù
[¿¼ÑÐ] µ÷¼Á +3 ºÃºÃ¶ÁÊé¡£ 2026-03-28 3/150 2026-03-28 12:04 by Íõ±£½Ü33
[¿¼ÑÐ] 081200-314 +3 LILIQQ 2026-03-27 4/200 2026-03-28 09:41 by ±£»¤µØÇòÄãÎÒ×öÆ
[¿¼ÑÐ] 0703»¯Ñ§Çóµ÷¼Á£¬¸÷λÀÏʦ¿´¿´ÎÒ£¡£¡£¡ +5 Æîì÷ì÷ 2026-03-25 5/250 2026-03-27 21:44 by ¶«·½ÖíÖí
[¿¼ÑÐ] 070300»¯Ñ§Çóµ÷¼Á +4 Æð¸öÃûÕ¦ÕâôÄÑ 2026-03-27 4/200 2026-03-27 21:39 by 83503ËïÀÏʦ
[Óлú½»Á÷] ¸ßθßѹ·´Ó¦ÇóÖú 10+4 chibby 2026-03-25 4/200 2026-03-27 21:08 by BT20230424
[¿¼ÑÐ] 266·ÖÇó²ÄÁÏ»¯¹¤Ò±½ð¿óÒµµÈרҵµÄµ÷¼Á +4 ÍÛºôºßºôºß 2026-03-26 4/200 2026-03-27 17:02 by zhyzzh
[¿¼ÑÐ] Ò»Ö¾Ô¸±±¾©»¯¹¤´óѧ 070300 ѧ˶ 336·Ö Çóµ÷¼Á +9 vvÃÔ 2026-03-22 9/450 2026-03-27 15:59 by ²»³Ôô~µÄ؈
[¿¼ÑÐ] 305Çóµ÷¼Á +5 ÍÛ¬¿¨¿â 2026-03-26 5/250 2026-03-27 14:01 by laoshidan
[¿¼ÑÐ] 292Çóµ÷¼Á +4 ÇóÇóÁËÊÕÏÂÎÒ°É£ 2026-03-26 4/200 2026-03-27 10:37 by zhshch
[¿¼ÑÐ] Ò»Ö¾Ô¸Ìì½ò´óѧ339²ÄÁÏÓ뻯¹¤Çóµ÷¼Á +3 ½­ÍùÂôÓã 2026-03-26 3/150 2026-03-26 09:42 by ÍõСǷi
[¿¼ÑÐ] ´ò¹ýºÜ¶à¾ºÈü£¬085406¿ØÖƹ¤³Ì300·Ö£¬Çóµ÷¼Á +3 askeladz 2026-03-26 3/150 2026-03-26 09:08 by ¸øÄãÄã×¢ÒâÐÝÏ¢
[¿¼ÑÐ] Ò»Ö¾Ô¸ÉϺ£½»´óÉúÎïÓëҽҩר˶324·Ö£¬Çóµ÷¼Á +6 jiajunX 2026-03-22 6/300 2026-03-25 23:05 by licg0208
[¿¼ÑÐ] 284Çóµ÷¼Á +15 Zhao anqi 2026-03-22 15/750 2026-03-25 12:51 by wht0531
ÐÅÏ¢Ìáʾ
ÇëÌî´¦ÀíÒâ¼û