| 查看: 528 | 回复: 1 | |
[求助]
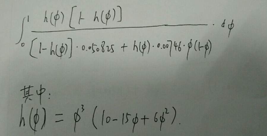
这个用Matlab怎么求积分??? 已有1人参与
|
|
|
|
|
信彼南山木虫 (著名写手)
|
|
|
2楼2016-06-20 00:32:07
|
|














回复此楼