| 查看: 1699 | 回复: 7 | ||
[交流]
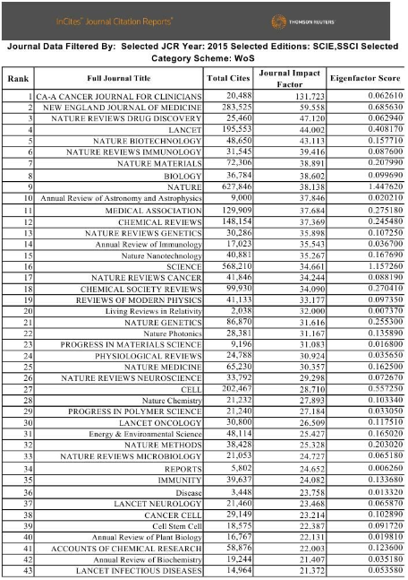
2016年SCI影响因子新鲜出炉!(2015年版)
|
» 抢金币啦!回帖就可以得到:
上海87年GG诚求女友
+1/166
“超分子材料交叉研究团队”联合诚聘博士后 [清华/吉大/复旦/北大]
+1/83
“超分子材料交叉研究团队”联合诚聘博士后 [清华/吉大/复旦/北大]
+1/83
关于本子打包
+1/82
中南林业科技大学-自然资源与生态环境管理-申请-考核制博士生招生(导师本人发布)
+1/80
[求助] 半导体物理PPT课件 东华理工机电学院 彭新村老师
+1/79
【2026/2027 哈工大计算机类博士/硕士招生】
+1/79
大连理工大学智能系统实验室优秀硕博研究生招生
+1/73
自驾淄博回四川遂宁过年,寻找小伙伴一起
+1/65
大连工业大学 超临界流体技术团队(纺材学院)招收2026级“申请-考核制”博士生
+1/64
2026湖南科技大学化学化工学院招新能源电池方向博士生
+1/28
辽宁材料实验室框架复合材料课题组招收联合培养研究生(长期有效)
+2/24
青岛大学化学院泰山学者冯佳课题组申请考核制博士招生
+1/21
2026申博自荐 本硕双一流学科 纳米药物递送方向 一篇一区TOP 两个国家奖学金
+1/14
福建师范大学柔性电子学院 院士团队招2026级博士 光电器件、发光传感忆阻器
+1/6
华南理工大学宋波教授招收2026年博士生(二氧化碳有机、高分子和光电生物催化还原)
+1/4
宁夏大学国家重点实验室王政教授拟招收一名博士生
+1/4
南方科技大学田雷蕾课题组招收2026年博士生
+1/1
南开大学齐迹课题组诚聘分子生物学、免疫学、有机分子合成相关方向的博士后、博士硕士
+1/1
诚邀加盟!青岛大学郑晓钦教授团队诚招博士研究生、博士后及青年英才
+1/1
2楼2016-06-15 09:23:29
★
linglingchen(金币+1): 谢谢参与
linglingchen(金币+1): 谢谢参与
|
本帖内容被屏蔽 |
3楼2016-06-15 09:34:19
4楼2016-06-15 09:39:38
5楼2016-06-15 10:32:12
6楼2016-06-15 11:48:31
7楼2016-06-16 06:20:14
8楼2016-06-16 06:21:01













回复此楼
