24小时热门版块排行榜    

北京石油化工学院2026年研究生招生接收调剂公告
查看: 324  |  回复: 0

大力2010

金虫 (著名写手)

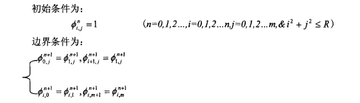
[求助] 请教高手 ,这个边界条件怎么输入comsol??

请教高手  ,这个边界条件怎么输入comsol??

请教高手  ,这个边界条件怎么输入comsol??
01.png


请教高手  ,这个边界条件怎么输入comsol??-1
neu.png
回复此楼

» 猜你喜欢

已阅   回复此楼   关注TA 给TA发消息 送TA红花 TA的回帖
相关版块跳转 我要订阅楼主 大力2010 的主题更新
最具人气热帖推荐 [查看全部] 作者 回/看 最后发表
[考研] 一志愿北京科技大学材料工程085601,求调剂 +13 cdyw 2026-04-02 14/700 2026-04-03 18:23 by ls刘帅
[考研] 334求调剂 +7 曾仰之 2026-04-03 7/350 2026-04-03 18:21 by ls刘帅
[考研] 学硕机械工程303求调剂 +6 无名所以叫吴明 2026-03-30 7/350 2026-04-03 16:48 by asdfzly
[考研] 288求调剂 一志愿哈工大 材料与化工 +3 洛神哥哥 2026-04-03 3/150 2026-04-03 16:37 by wxiongid
[硕博家园] 求老师收留 +9 lllq123 2026-04-03 9/450 2026-04-03 13:48 by 呼吸都是减肥
[考研] 材料调剂 +5 一样YWY 2026-04-03 5/250 2026-04-03 13:29 by baoball
[考研] 08工科275分求调剂 +14 AaAa7420 2026-03-31 14/700 2026-04-03 11:13 by cocolv
[考研] 一志愿a区211,085601-307分求调剂 +13 党嘉豪 2026-03-31 26/1300 2026-04-03 08:33 by 495374996
[考研] 312求调剂 +6 小小墨123 2026-04-02 7/350 2026-04-03 07:32 by jsw79
[考研] 277求调剂 +3 12A3 2026-04-02 3/150 2026-04-02 21:30 by swb0218
[考研] 求调剂求调剂 +7 121. 2026-04-02 7/350 2026-04-02 19:15 by dick_runner
[考研] 362求调剂 +14 西南交材料专硕3 2026-03-31 14/700 2026-04-02 17:50 by yunlongyang
[考研] 283求调剂 +3 jiouuu 2026-04-02 4/200 2026-04-02 14:08 by 哒哒哒呱呱呱
[考研] 08开头看过来!!! +4 wwwwffffff 2026-03-31 6/300 2026-04-02 11:42 by 均值回归
[考研] 一志愿安徽大学计算机科学与技术学硕,331分求调剂 +5 蒋昌鹏qtj 2026-04-01 5/250 2026-04-02 08:10 by fxue1114
[考研] 材料调剂 +10 Eujd1 2026-03-31 11/550 2026-04-01 11:23 by ivanqyq
[考研] 080200学硕,机械工程专业277分,求带走! +4 瓶子PZ 2026-03-31 4/200 2026-03-31 20:16 by vgtyfty
[基金申请] 面上5B能上会吗? +8 redcom 2026-03-29 8/400 2026-03-31 15:53 by niuailing
[考研] 福建理工大学材料学院先进合金团队招收考研调剂学生 +3 大华金商都 2026-03-30 4/200 2026-03-31 01:04 by 方英俊602
[考研] 085405 考的11408求各位老师带走 +3 Qiu学ing 2026-03-28 3/150 2026-03-28 09:19 by 乐呵呵的追梦人
信息提示
请填处理意见