| 查看: 3549 | 回复: 4 | ||
[求助]
关于三电极体系恒电流充放电曲线中的IR降 已有1人参与
|
|
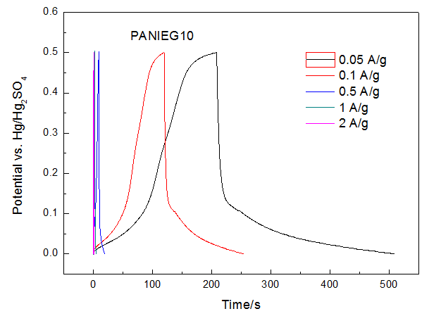
文献中说三电极体系恒电流充放电,计算比电容时需要减去IR降部分的电压。如下两图中,是不是PANIEG13中的才能称为IR降??而PANIEG10则是单纯的电压下降较快啊?因为PANIEG13的充电初始阶段也出现了电压快速增大的阶段,在PANIEG10中则没有。。。。另外,PANIEG10中的快速降低反应什么嘞,是说明赝电容比例大么? 谢谢指导 11.jpg 1.jpg |
» 猜你喜欢
锂离子电池循环寿命衰减过快,求机理分析与改进思路
已经有2人回复
求博导收留
已经有6人回复
物理化学论文润色/翻译怎么收费?
已经有261人回复
CSC & MSCA 博洛尼亚大学能源材料课题组博士/博士后招生|MSCA经费充足、排名优
已经有6人回复
德国Karlsruhe Institute of Technology招收电化学储能及联合培养CSC博士等
已经有20人回复
德国Karlsruhe Institute of Technology招收电化学储能及联合培养CSC博士
已经有23人回复
德国Karlsruhe Institute of Technology招收电化学储能及联合培养CSC博士
已经有1人回复
固态锂金属电池迁移数计算求助
已经有1人回复
荷兰奈梅亨大学赵文博与Galimberti课题组招收理论计算CSC博士 2000 欧元/月+房补
已经有0人回复
26储能博士申请自荐
已经有22人回复
上海交通大学--宁波东方理工大学电池方向博士招生
已经有10人回复
|
顶一下 发自小木虫Android客户端 |
2楼2018-12-05 12:59:35
3楼2019-01-21 22:16:36
hollya
至尊木虫 (文坛精英)
葛城?{美
- ECEPI: 1
- 应助: 744 (博后)
- 金币: 44165.3
- 散金: 1143
- 红花: 127
- 沙发: 780
- 帖子: 24910
- 在线: 835小时
- 虫号: 458790
- 注册: 2007-11-13
- 性别: MM
- 专业: 计算机软件

4楼2019-01-22 21:13:46
5楼2019-07-13 15:10:58













回复此楼