24小时热门版块排行榜    

Znn3bq.jpeg
查看: 218  |  回复: 0

望天青

铜虫 (初入文坛)

[求助] 新人求助,请大家帮忙解谱,谢谢

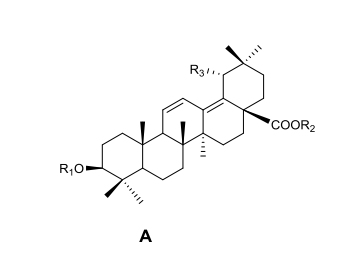
上图是化合物的结构和质谱信息图,请大家帮忙看一下分别是什么碎片是什么糖的碎片,最后那个-m/z42的是什么

新人求助,请大家帮忙解谱,谢谢
1.png


新人求助,请大家帮忙解谱,谢谢-1
2.png


新人求助,请大家帮忙解谱,谢谢-2
3.JPG
回复此楼
不拖延
已阅   回复此楼   关注TA 给TA发消息 送TA红花 TA的回帖
相关版块跳转 我要订阅楼主 望天青 的主题更新
最具人气热帖推荐 [查看全部] 作者 回/看 最后发表
[考研] 0831生医工第一轮调剂失败求助 +12 小熊睿睿_s 2026-04-11 16/800 2026-04-12 16:28 by 钰璞
[考研] 0831一轮调剂失败求助 +9 小熊睿睿_s 2026-04-11 9/450 2026-04-12 14:18 by 昆工高欣
[考研] 291求调剂 +11 关忆北. 2026-04-09 12/600 2026-04-12 10:32 by 逆水乘风
[考研] 人工智能320调剂08工类还有机会吗 +12 振—TZ 2026-04-10 12/600 2026-04-12 07:54 by wj165256
[考研] 一志愿郑州大学 22408 305分求调剂 +5 安小满zzz 2026-04-08 5/250 2026-04-12 00:41 by 蓝云思雨
[硕博家园] 有没有学校材料专业收跨调(一志愿085410) +6 momo(上岸版) 2026-04-06 9/450 2026-04-11 22:38 by wj165256
[考研] 274求调剂求调剂 +11 Jachenbingoo 2026-04-06 14/700 2026-04-11 11:37 by 紫曦紫棋
[考研] 087100初试311求调剂 +4 任雅琴 2026-04-09 4/200 2026-04-11 10:33 by zhq0425
[考研] 0854调剂 +4 长弓傲 2026-04-09 4/200 2026-04-11 09:18 by 猪会飞
[考研] 337求调剂 +4 研s. 2026-04-10 4/200 2026-04-11 08:57 by zhq0425
[考研] 346,工科0854求调剂,专硕 +7 moser233 2026-04-10 8/400 2026-04-11 08:52 by 猪会飞
[考研] 085800 能源动力求调剂 +6 阿biu啊啊啊啊啊 2026-04-10 6/300 2026-04-10 15:03 by hemengdong
[考研] 一志愿中科院105500专业总分315求调剂 +6 lallalh 2026-04-09 7/350 2026-04-09 17:51 by lallalh
[考研] 一志愿厦大生物学332求调剂 +10 池池池池池池 2026-04-08 10/500 2026-04-09 17:10 by 独醉梦孤城
[考研] 274求调剂 +5 山阿蔓 2026-04-07 5/250 2026-04-09 15:28 by 18828373951
[考研] 材料与化工专硕306分找合适调剂 +27 沧海轻舟e 2026-04-06 28/1400 2026-04-08 22:06 by wdyheheeh
[考研] 293分求调剂,外语为俄语 +7 加一一九 2026-04-07 10/500 2026-04-08 20:14 by yutian743
[考研] 0703调剂,一志愿天津大学319分 +23 haaaabcd 2026-04-05 26/1300 2026-04-08 16:19 by luoyongfeng
[考研] 307求调剂 +14 超级伊昂大王 2026-04-06 14/700 2026-04-08 07:03 by 无际的草原
[考研] 259求调剂 +5 就爱吃土豆呀呀 2026-04-07 5/250 2026-04-07 22:40 by JourneyLucky
信息提示
请填处理意见