| ²é¿´: 1011 | »Ø¸´: 10 | ||
wu1309122143ÖÁ×ðľ³æ (ÖªÃû×÷¼Ò)
|
[ÇóÖú]
ÒÉÄÑ£¬»¯Ñ§Æ½ºâÎÊÌâ ÒÑÓÐ1È˲ÎÓë
|
|
|
µÚ4Ì⣬ÎÒ¶ÔÕâ¸öÌâ˼·²»Çå³þ£¬ÌâÖиø³öÁËÎïÖʵÄÁ¿n£¬ÄÇôKn £¬KyÅжϷ´Ó¦µÄ¹ý³Ì·½ÏòÓÐÊ²Ã´Çø±ð£¿ÈçºÎÅжÏÄĸö¼òµ¥ÄØ£¿ ¸÷λ³æ³æÒ»ÆðÌÖÂÛÏ£¬ÓÐʲôºÃµÄ˼·ºÍ½â·¨ 9C620E62EFA65BCE4CF6D0939113FD8D.jpg |
» ²ÂÄãϲ»¶
Î人·ÄÖ¯´óѧ-²ÄÁÏ¿ÆÑ§Ó빤³ÌѧԺ-½ªÎ°½ÜÇàÍŶÓ-ÕÐÉúÎï·½Ïòµ÷¼Á
ÒѾÓÐ0È˻ظ´
Î人·ÄÖ¯´óѧ-²ÄÁÏ¿ÆÑ§Ó빤³ÌѧԺ-ÕÐ ÉúÎï·½Ïò ˶ʿ£¡
ÒѾÓÐ0È˻ظ´
Óлú¸ß·Ö×Ó²ÄÁÏÂÛÎÄÈóÉ«/·ÒëÔõôÊÕ·Ñ?
ÒѾÓÐ51È˻ظ´
Î人·ÄÖ¯´óѧ-²ÄÁÏ¿ÆÑ§Ó빤³ÌѧԺ-½ªÎ°½ÜÇàÍŶÓ-ÕÐÉúÎï·½Ïòµ÷¼Á
ÒѾÓÐ0È˻ظ´
[Î人·ÄÖ¯´óѧ]²ÄÁÏѧԺ[½ªÎ°ÍŶÓÃû³Æ]¿ÎÌâ×é-2026Äê˶ʿÑо¿Éúµ÷¼ÁÐÅÏ¢
ÒѾÓÐ0È˻ظ´
Î人·ÄÖ¯´óѧ-²ÄÁÏ¿ÆÑ§Ó빤³ÌѧԺ-½ªÎ°½ÜÇàÍŶÓ-Õе÷¼Á
ÒѾÓÐ0È˻ظ´
ÉúÎïҽѧ²ÄÁÏÇ°ÑØ¿ÆÆÕ£ºµÍÃܶȡ¢¸ß¿×϶Âʵġ°¶à¿×΢Çò¡±ºËÐļ¼ÊõÓëÓ¦ÓÃÈ«¾°
ÒѾÓÐ1È˻ظ´
ºþÄϹ¤Òµ´óѧÖܹóÒú×éÕÐÉúÎïҽѧ¹¤³Ì£¨Ñ§Ë¶07¡¢08¶¼ÐУ©¡¢ÉúÎïÓëÒ½Ò©£¨×¨Ë¶08£©Ë¶Ê¿Éú
ÒѾÓÐ0È˻ظ´
ºþÄϹ¤Òµ´óѧÖܹóÒú×éÕÐÉúÎïҽѧ¹¤³Ì£¨Ñ§Ë¶07¡¢08¶¼ÐУ©ºÍÉúÎïÓëÒ½Ò©£¨×¨Ë¶08£©Ë¶Ê¿Éú
ÒѾÓÐ0È˻ظ´
¿¼ÑÐÇóµ÷¼Á
ÒѾÓÐ0È˻ظ´
2026ÄêÖÐÄÏÃñ×å´óѧ»¯Ñ§Óë²ÄÁÏ¿ÆÑ§Ñ§Ôºµ÷¼Á¹«¸æ
ÒѾÓÐ30È˻ظ´
» ±¾Ö÷ÌâÏà¹Ø¼ÛÖµÌùÍÆ¼ö£¬¶ÔÄúͬÑùÓаïÖú:
°ïæ·ÒëÕªÒª£¨¼±Óã©
ÒѾÓÐ0È˻ظ´
Êг¡×¨¼Ò²¿ÕÐÆ¸ÐÅÏ¢
ÒѾÓÐ9È˻ظ´

¹ÈÖÐÃ÷
ÖÁ×ðľ³æ (ÖøÃûдÊÖ)
- ICEPI: 19
- Ó¦Öú: 1264 (½²Ê¦)
- ¹ó±ö: 0.482
- ½ð±Ò: 24134.7
- ºì»¨: 182
- Ìû×Ó: 2913
- ÔÚÏß: 1911.3Сʱ
- ³æºÅ: 1883403
- ×¢²á: 2012-07-08
- ÐÔ±ð: GG
- רҵ: ÈÈÁ¦Ñ§
¡ï ¡ï
±ùµã½µÎÂ: ½ð±Ò+2, ллר¼Ò»ØÌû½â´ð£¬ÐÁ¿àÀ²£¡ 2016-06-12 09:30:09
±ùµã½µÎÂ: ½ð±Ò+2, ллר¼Ò»ØÌû½â´ð£¬ÐÁ¿àÀ²£¡ 2016-06-12 09:30:09
|
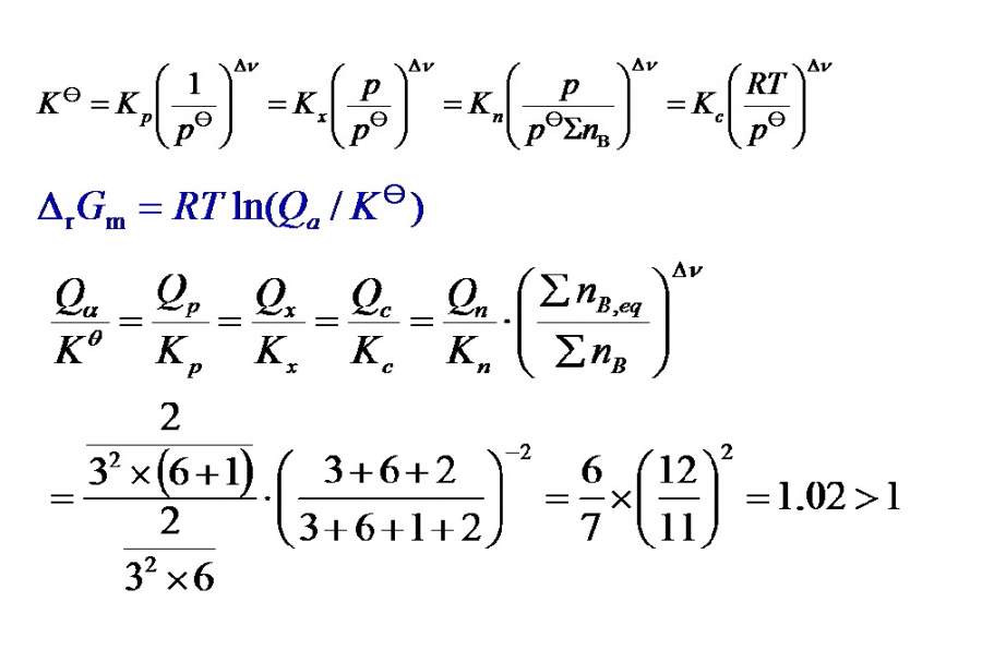
ÒòΪÀíÂÛÉÏÀ´ÅжϵÄÓ¦¸ÃÊÇK¡ãºÍQµÄ´óСµÄ±È½Ï¡£ ¸ù¾ÝK¡ãÓëKnµÄ¹ØÏµ¿´£¬¶þÕ߼仹Óëϵͳ×ÜѹºÍϵͳµÄÆøÌå×ÜÎïÖʵÄÁ¿Óйأ¬¾¡¹Ü¸Ã·´Ó¦ÎªµÈѹ¹ý³Ì¿ÉÒÔ¶ÔÏû£¬µ«ÏµÍ³µÄ×ÜÎïÖʵÄÁ¿ÊDZ仯µÄ£¬¹Ê²»ÄÜÖ±½ÓÓÃQnÓëKnÖ±½ÓÀ´Åжϡ£ ¶þÕß¼äµÄ¹ØÏµ¼ûµÚÒ»´Î»Ø¸´µÄ¸½Í¼¡£ |
9Â¥2016-06-12 07:56:24
wu1309122143
ÖÁ×ðľ³æ (ÖªÃû×÷¼Ò)
- Ó¦Öú: 138 (¸ßÖÐÉú)
- ½ð±Ò: 12140.8
- É¢½ð: 406
- ºì»¨: 31
- Ìû×Ó: 5201
- ÔÚÏß: 444.2Сʱ
- ³æºÅ: 3818874
- ×¢²á: 2015-04-15
- ÐÔ±ð: GG
- רҵ: Óлú·Ö×Ó¹¦ÄܲÄÁÏ»¯Ñ§

2Â¥2016-06-09 12:46:19
ÑÐ2015
гæ (СÓÐÃûÆø)
- Ó¦Öú: 0 (Ó×¶ùÔ°)
- ½ð±Ò: 1138.9
- Ìû×Ó: 124
- ÔÚÏß: 14.2Сʱ
- ³æºÅ: 4195842
- ×¢²á: 2015-11-04
- רҵ: ÎÞ»úºÏ³ÉºÍÖÆ±¸»¯Ñ§
3Â¥2016-06-10 22:32:02
¹ÈÖÐÃ÷
ÖÁ×ðľ³æ (ÖøÃûдÊÖ)
- ICEPI: 19
- Ó¦Öú: 1264 (½²Ê¦)
- ¹ó±ö: 0.482
- ½ð±Ò: 24134.7
- ºì»¨: 182
- Ìû×Ó: 2913
- ÔÚÏß: 1911.3Сʱ
- ³æºÅ: 1883403
- ×¢²á: 2012-07-08
- ÐÔ±ð: GG
- רҵ: ÈÈÁ¦Ñ§
¡¾´ð°¸¡¿Ó¦Öú»ØÌû
¡ï ¡ï ¡ï ¡ï ¡ï ¡ï ¡ï ¡ï ¡ï ¡ï ¡ï ¡ï ¡ï
¸Ðл²ÎÓ룬ӦÖúÖ¸Êý +1
±ùµã½µÎÂ: ½ð±Ò+3, ллר¼Ò»ØÌû½â´ð£¬ÐÁ¿àÀ²£¡ 2016-06-11 15:16:42
wu1309122143(±ùµã½µÎ´ú·¢): ½ð±Ò+8 2016-06-11 15:16:59
wu1309122143: ½ð±Ò+2, ¡ï¡ï¡ï¡ï¡ï×î¼Ñ´ð°¸ 2016-06-11 23:34:52
¸Ðл²ÎÓ룬ӦÖúÖ¸Êý +1
±ùµã½µÎÂ: ½ð±Ò+3, ллר¼Ò»ØÌû½â´ð£¬ÐÁ¿àÀ²£¡ 2016-06-11 15:16:42
wu1309122143(±ùµã½µÎ´ú·¢): ½ð±Ò+8 2016-06-11 15:16:59
wu1309122143: ½ð±Ò+2, ¡ï¡ï¡ï¡ï¡ï×î¼Ñ´ð°¸ 2016-06-11 23:34:52
4Â¥2016-06-11 09:30:06
wu1309122143
ÖÁ×ðľ³æ (ÖªÃû×÷¼Ò)
- Ó¦Öú: 138 (¸ßÖÐÉú)
- ½ð±Ò: 12140.8
- É¢½ð: 406
- ºì»¨: 31
- Ìû×Ó: 5201
- ÔÚÏß: 444.2Сʱ
- ³æºÅ: 3818874
- ×¢²á: 2015-04-15
- ÐÔ±ð: GG
- רҵ: Óлú·Ö×Ó¹¦ÄܲÄÁÏ»¯Ñ§

5Â¥2016-06-11 23:44:11
¹ÈÖÐÃ÷
ÖÁ×ðľ³æ (ÖøÃûдÊÖ)
- ICEPI: 19
- Ó¦Öú: 1264 (½²Ê¦)
- ¹ó±ö: 0.482
- ½ð±Ò: 24134.7
- ºì»¨: 182
- Ìû×Ó: 2913
- ÔÚÏß: 1911.3Сʱ
- ³æºÅ: 1883403
- ×¢²á: 2012-07-08
- ÐÔ±ð: GG
- רҵ: ÈÈÁ¦Ñ§
|
1¡¢Ã»ÓÐϵͳѹÁ¦ÈçºÎÄܼÆËã³öK±ê 2¡¢¿ÉÒÔ¼ÆËãKn£¬Ò²ÄܼÆËã³öQn£¬µ«²»ÄÜÖ±½ÓÅÐ¶Ï 3¡¢¿ÉÒÔÖËãKy£¬Qy£¬ÇÒ¿ÉÖ±½Ó½øÐбȽϴóСÀ´ÅÐ¶Ï ·¢×ÔСľ³æAndroid¿Í»§¶Ë |
6Â¥2016-06-12 06:59:40
wu1309122143
ÖÁ×ðľ³æ (ÖªÃû×÷¼Ò)
- Ó¦Öú: 138 (¸ßÖÐÉú)
- ½ð±Ò: 12140.8
- É¢½ð: 406
- ºì»¨: 31
- Ìû×Ó: 5201
- ÔÚÏß: 444.2Сʱ
- ³æºÅ: 3818874
- ×¢²á: 2015-04-15
- ÐÔ±ð: GG
- רҵ: Óлú·Ö×Ó¹¦ÄܲÄÁÏ»¯Ñ§

7Â¥2016-06-12 07:46:32
wu1309122143
ÖÁ×ðľ³æ (ÖªÃû×÷¼Ò)
- Ó¦Öú: 138 (¸ßÖÐÉú)
- ½ð±Ò: 12140.8
- É¢½ð: 406
- ºì»¨: 31
- Ìû×Ó: 5201
- ÔÚÏß: 444.2Сʱ
- ³æºÅ: 3818874
- ×¢²á: 2015-04-15
- ÐÔ±ð: GG
- רҵ: Óлú·Ö×Ó¹¦ÄܲÄÁÏ»¯Ñ§

8Â¥2016-06-12 07:47:48
wu1309122143
ÖÁ×ðľ³æ (ÖªÃû×÷¼Ò)
- Ó¦Öú: 138 (¸ßÖÐÉú)
- ½ð±Ò: 12140.8
- É¢½ð: 406
- ºì»¨: 31
- Ìû×Ó: 5201
- ÔÚÏß: 444.2Сʱ
- ³æºÅ: 3818874
- ×¢²á: 2015-04-15
- ÐÔ±ð: GG
- רҵ: Óлú·Ö×Ó¹¦ÄܲÄÁÏ»¯Ñ§

10Â¥2016-06-12 22:44:26














»Ø¸´´ËÂ¥