| 查看: 430 | 回复: 2 | ||||
199107011523新虫 (小有名气)
|
[求助]
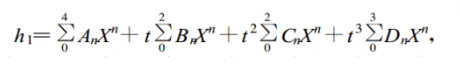
在MATLAB中对方程编写代码已有1人参与
|
|
已知An=[-571.17715,7507.234,-23006.7518,28037.3668,-11610.75]; Bn=[4.07,-5.123,2.297,]; Cn=[4.96e-4,3.145e-3,-4.69e-3]; Dn=[-4.00E-06,1.46E-06,4.19E-06,]; x和t是自变量,在MATLAB中如何编写以下方程的代码 公式.png@laosam280 |
» 猜你喜欢
之前让一硕士生水了7个发明专利,现在这7个获批发明专利的维护费可从哪儿支出哈?
已经有5人回复
博士读完未来一定会好吗
已经有29人回复
博士申请都是内定的吗?
已经有5人回复
到新单位后,换了新的研究方向,没有团队,持续积累2区以上论文,能申请到面上吗
已经有12人回复
投稿精细化工
已经有4人回复
高职单位投计算机相关的北核或SCI四区期刊推荐,求支招!
已经有4人回复
导师想让我从独立一作变成了共一第一
已经有9人回复
读博
已经有4人回复
JMPT 期刊投稿流程
已经有4人回复
心脉受损
已经有5人回复
wurongjun
专家顾问 (职业作家)
-

专家经验: +831 - 数学EPI: 9
- 应助: 791 (博后)
- 贵宾: 0.308
- 金币: 24607.5
- 散金: 310
- 红花: 75
- 帖子: 3004
- 在线: 881.2小时
- 虫号: 1368482
- 注册: 2011-08-14
- 性别: GG
- 专业: 计算数学与科学工程计算
- 管辖: 数学
【答案】应助回帖
★ ★ ★ ★ ★ ★ ★ ★ ★ ★
感谢参与,应助指数 +1
199107011523: 金币+10, ★★★很有帮助 2016-06-16 17:10:49
感谢参与,应助指数 +1
199107011523: 金币+10, ★★★很有帮助 2016-06-16 17:10:49
|
写个函数: function y=f(A,B,C,D,t,x) P1=polyval(fliplr(A),x); P2=polyval(fliplr(B),x); P3=polyval(fliplr(C),x); P4=polyval(fliplr(D),x); y=polyval([P4 P3 P2 P1],t); 调用: >> f(An,Bn,Cn,Dn,0,0) ans = -571.1771 >> f(An,Bn,Cn,Dn,1,0) ans = -567.1067 |
» 本帖已获得的红花(最新10朵)

2楼2016-06-08 22:24:42
199107011523
新虫 (小有名气)
- 应助: 0 (幼儿园)
- 金币: 234.8
- 帖子: 93
- 在线: 31.9小时
- 虫号: 3441617
- 注册: 2014-09-25
- 专业: 工程热物理相关交叉领域
3楼2016-06-13 07:48:43













回复此楼
199107011523