| 查看: 1745 | 回复: 10 | ||
[求助]
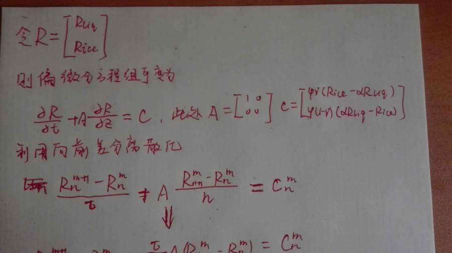
哪位大神指导一下,如何用matlab求解偏微分方程组 已有2人参与
|
||
|
图片中t是时间变量,z是空间变量。初始条件为Rliq(0,z)=-0.01,Rice(0,z)=-0.01。phi=0.4,gamma=0.68,aeq=1.0031。我用了向量方法,就是把R=(Rliq,Rice)',然后变成了向量型的一阶一维双曲方程,最后向前差分离散化,然后处理。可结果出了问题,哪位大神可以知道一下,求助 发自小木虫Android客户端 [ Last edited by 苜蓿情缘 on 2016-6-8 at 00:26 ] |
» 猜你喜欢
287求调剂
已经有5人回复
22408 344分 求调剂 一志愿 华电计算机技术
已经有3人回复
289求调剂
已经有3人回复
317求调剂
已经有10人回复
广西大学家禽遗传育种课题组2026年硕士招生(接收计算机专业调剂)
已经有3人回复
学校已经提交到NSFC,还能修改吗?
已经有8人回复
08工学调剂
已经有5人回复
281求调剂(0805)
已经有25人回复
085600材料与化工
已经有6人回复
265求调剂
已经有8人回复
peterflyer
木虫之王 (文学泰斗)
peterflyer
- 数学EPI: 10
- 应助: 20282 (院士)
- 金币: 146160
- 红花: 1374
- 帖子: 93091
- 在线: 7694.3小时
- 虫号: 1482829
- 注册: 2011-11-08
- 性别: GG
- 专业: 功能陶瓷
2楼2016-06-08 06:19:01
woshiqiujun
新虫 (正式写手)
- 应助: 1 (幼儿园)
- 金币: 1451.4
- 散金: 1112
- 红花: 4
- 帖子: 868
- 在线: 303小时
- 虫号: 3710942
- 注册: 2015-03-05
- 性别: GG
- 专业: 代数学
|
尝试先用拉普拉斯变换处理 看看边界怎么样 然后用逆变换导出边界条件 没有非线性项应该可以做出来 然后初边值问题写好算法最后代码实现 祝楼主万事如意 给个金币呗 发自小木虫Android客户端 |
9楼2016-06-08 16:31:22
3楼2016-06-08 08:10:16
4楼2016-06-08 08:12:32
5楼2016-06-08 08:14:03
6楼2016-06-08 08:51:30
woshiqiujun
新虫 (正式写手)
- 应助: 1 (幼儿园)
- 金币: 1451.4
- 散金: 1112
- 红花: 4
- 帖子: 868
- 在线: 303小时
- 虫号: 3710942
- 注册: 2015-03-05
- 性别: GG
- 专业: 代数学
7楼2016-06-08 16:25:35
woshiqiujun
新虫 (正式写手)
- 应助: 1 (幼儿园)
- 金币: 1451.4
- 散金: 1112
- 红花: 4
- 帖子: 868
- 在线: 303小时
- 虫号: 3710942
- 注册: 2015-03-05
- 性别: GG
- 专业: 代数学
8楼2016-06-08 16:27:25
铸剑人
金虫 (正式写手)
- 应助: 80 (初中生)
- 金币: 1552.6
- 散金: 406
- 红花: 41
- 帖子: 736
- 在线: 159.5小时
- 虫号: 2517634
- 注册: 2013-06-22
- 性别: GG
- 专业: 非线性光学与量子光学

10楼2016-06-11 11:42:22













回复此楼