| ²é¿´: 1037 | »Ø¸´: 4 | ||
iάÊýľ³æ (ÕýʽдÊÖ)
|
[ÇóÖú]
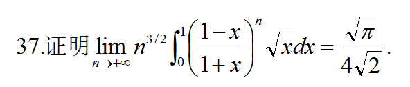
Çó½âÒ»¸öº¬»ý·ÖµÄ¼«ÏÞ
|
|
|
|
||
hank612ÖÁ×ðľ³æ (ÖøÃûдÊÖ)
|
||
![]() |
||
|
2Â¥2016-06-05 08:07:01
|
|
|
iάÊýľ³æ (ÕýʽдÊÖ)
|
||
|
3Â¥2016-06-05 11:46:56
|
|
|
hank612ÖÁ×ðľ³æ (ÖøÃûдÊÖ)
|
|
|
![]() |
||
|
4Â¥2016-06-05 12:41:28
|
|
|
iάÊýľ³æ (ÕýʽдÊÖ)
|
¡ï ¡ï ¡ï ¡ï ¡ï ¡ï ¡ï ¡ï ¡ï ¡ï
Edstrayer: ½ð±Ò+10, thank 2016-06-16 17:42:32 |
|
|
5Â¥2016-06-05 22:58:35
|
|













»Ø¸´´ËÂ¥

