²é¿´: 157  |  »Ø¸´: 0

18255025093

½ð³æ (СÓÐÃûÆø)

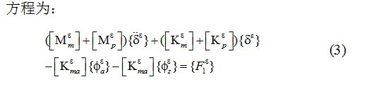
[ÇóÖú] ¿´ÏÂÕâ¸öÓÐÏÞÔªÀëÉ¢ºóµÄ·½³ÌÓÐûÓбðµÄ±íʾ·½·¨

ÓÐÏÞÔªÀëÉ¢ºóµÄ·½³ÌÓÐûÓбðµÄ±íʾ·½·¨
¿´ÏÂÕâ¸öÓÐÏÞÔªÀëÉ¢ºóµÄ·½³ÌÓÐûÓбðµÄ±íʾ·½·¨
»Ø¸´´ËÂ¥
DOMYWORK
ÒÑÔÄ   »Ø¸´´ËÂ¥   ¹Ø×¢TA ¸øTA·¢ÏûÏ¢ ËÍTAºì»¨ TAµÄ»ØÌû
Ïà¹Ø°æ¿éÌø×ª ÎÒÒª¶©ÔÄÂ¥Ö÷ enenaa9966 µÄÖ÷Ìâ¸üÐÂ
×î¾ßÈËÆøÈÈÌûÍÆ¼ö [²é¿´È«²¿] ×÷Õß »Ø/¿´ ×îºó·¢±í
[¿¼ÑÐ] 306Çó0703µ÷¼ÁÒ»Ö¾Ô¸»ªÖÐʦ·¶ +7 Ö½Óãly 2026-03-21 8/400 2026-03-23 23:31 by chixmc
[¿¼ÑÐ] 291 Çóµ÷¼Á +4 »¯¹¤2026½ì±ÏÒµÉ 2026-03-21 5/250 2026-03-23 16:46 by »¯¹¤2026½ì±ÏÒµÉ
[¿¼ÑÐ] 08¹¤Ñ§µ÷¼Á +7 Óû§573181 2026-03-20 11/550 2026-03-23 15:47 by ÎÒ°®Ñ§Ï°Ñ§Ï°Ê¹Î
[¿¼ÑÐ] 352Çóµ÷¼Á +3 ´óÃ×·¹£¡ 2026-03-22 3/150 2026-03-22 23:28 by king123£¡
[¿¼ÑÐ] 315·Ö£¬³ÏÇóµ÷¼Á£¬²ÄÁÏÓ뻯¹¤085600 +3 13756423260 2026-03-22 3/150 2026-03-22 20:11 by edmund7
[¿¼ÑÐ] Çóµ÷¼ÁÒ»Ö¾Ô¸º£´ó£¬0703»¯Ñ§Ñ§Ë¶304·Ö£¬Óдó´´ÏîÄ¿£¬Ëļ¶Òѹý +6 ÐÒÔËÁ¨Á¨ 2026-03-22 10/500 2026-03-22 20:10 by edmund7
[¿¼ÑÐ] Ò»Ö¾Ô¸ÖÐÄÏ»¯Ñ§£¨0703£©×Ü·Ö337Çóµ÷¼Á +9 niko- 2026-03-19 10/500 2026-03-22 16:08 by ColorlessPI
[¿¼ÑÐ] Ò»Ö¾Ô¸±±¾©»¯¹¤´óѧ070300 ѧ˶336Çóµ÷¼Á +5 vvÃÔ 2026-03-21 8/400 2026-03-22 14:20 by ColorlessPI
[¿¼ÑÐ] 280Çóµ÷¼Á +11 ¹¾ààÏþÏþ 2026-03-18 12/600 2026-03-21 22:40 by ACS Nano¡ª¡ª
[¿¼ÑÐ] Ò»Ö¾Ô¸Éî´ó£¬0703»¯Ñ§£¬×Ü·Ö302£¬Çóµ÷¼Á +4 ÆßÔÂ-ÆßÆß 2026-03-21 4/200 2026-03-21 18:20 by ѧԱ8dgXkO
[¿¼ÑÐ] 313Çóµ÷¼Á +4 ËÁÈþ·¡Ò¼22 2026-03-19 4/200 2026-03-21 17:33 by ColorlessPI
[¿¼ÑÐ] Çóµ÷¼Á +3 °×QF 2026-03-21 3/150 2026-03-21 13:12 by zhukairuo
[¿¼ÑÐ] 303Çóµ÷¼Á +5 î£08 2026-03-17 7/350 2026-03-21 03:11 by JourneyLucky
[¿¼ÑÐ] »¯Ñ§Çóµ÷¼Á +4 ÁÙÔó¾³llllll 2026-03-17 5/250 2026-03-21 02:23 by JourneyLucky
[¿¼ÑÐ] ²ÄÁÏ 336 Çóµ÷¼Á +3 An@. 2026-03-18 4/200 2026-03-21 01:39 by JourneyLucky
[¿¼ÑÐ] Ò»Ö¾Ô¸ Î÷±±´óѧ £¬070300»¯Ñ§Ñ§Ë¶£¬×Ü·Ö287£¬Ë«·ÇÒ»±¾£¬Çóµ÷¼Á¡£ +3 ³¿»èÏßÓëÐǺ£ 2026-03-18 3/150 2026-03-21 00:46 by JourneyLucky
[¿¼ÑÐ] ÄϾ©´óѧ»¯Ñ§376Çóµ÷¼Á +3 hisfailed 2026-03-19 6/300 2026-03-20 23:43 by hisfailed
[¿¼ÑÐ] 317Çóµ÷¼Á +5 Éê×ÓÉêÉê 2026-03-19 9/450 2026-03-20 22:26 by JourneyLucky
[¿¼ÑÐ] 086500 325 Çóµ÷¼Á +3 Áì´øÐ¡ÐÜ 2026-03-19 3/150 2026-03-20 18:38 by ¾¡Ë´Ò¢1
[¿¼ÑÐ] ÊÕ¸´ÊÔµ÷¼ÁÉú +4 ÓêºóÇïºÉ 2026-03-18 4/200 2026-03-18 14:16 by elevennnne
ÐÅÏ¢Ìáʾ
ÇëÌî´¦ÀíÒâ¼û