| ²é¿´: 2648 | »Ø¸´: 2 | |
rita131187½ð³æ (СÓÐÃûÆø)
|
[ÇóÖú]
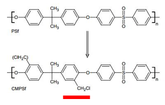
ºË´Å¹²ÕñÇâÆ×²â¾ÛºÏÎïµÄÂȼ׻ù»¯È¡´ú¶È ÒÑÓÐ1È˲ÎÓë
|
![]() |
|
|
|
|
¾²¶ù°ô°ôßÕгæ (³õÈëÎÄ̳)
|
|
|
2Â¥2017-04-26 08:22:55
|
|
q6455555гæ (СÓÐÃûÆø)
|
|
|
3Â¥2017-10-08 10:18:10
|
|













»Ø¸´´ËÂ¥