²é¿´: 359  |  »Ø¸´: 0

wei0412

½ð³æ (³õÈëÎÄ̳)

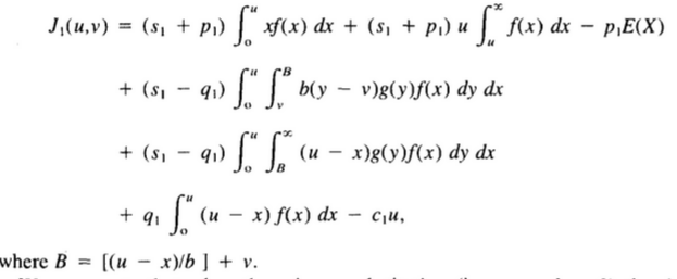
[ÇóÖú] ¶þÖØ»ý·Ö¶¨ÒåµÄº¯ÊýÇóµ¼

ÈçÌ⣬ÇóJ¶ÔuµÄÒ»½×µ¼Êý£¬Çë¸ø³ö¾ßÌåµÄ¼ÆËã¹ý³Ì¡£

¶þÖØ»ý·Ö¶¨ÒåµÄº¯ÊýÇóµ¼
{Y1RQK]9@YJ%XKO7WF1Y0%B.png
»Ø¸´´ËÂ¥
ÒÑÔÄ   »Ø¸´´ËÂ¥   ¹Ø×¢TA ¸øTA·¢ÏûÏ¢ ËÍTAºì»¨ TAµÄ»ØÌû
Ïà¹Ø°æ¿éÌø×ª ÎÒÒª¶©ÔÄÂ¥Ö÷ wei0412 µÄÖ÷Ìâ¸üÐÂ
×î¾ßÈËÆøÈÈÌûÍÆ¼ö [²é¿´È«²¿] ×÷Õß »Ø/¿´ ×îºó·¢±í
[¿¼ÑÐ] Ò»Ö¾Ô¸»ªÄÏʦ´ó 070300£¨»¯Ñ§£©304·ÖÇóµ÷¼Á +3 0703ÎäÜ·»ÛÑ©304 2026-03-18 3/150 2026-03-21 00:48 by JourneyLucky
[¿¼ÑÐ] 299Çóµ÷¼Á +4 shxchem 2026-03-20 5/250 2026-03-21 00:24 by ÐÇ¿ÕÐÇÔÂ
[¿¼ÑÐ] 311Çóµ÷¼Á +5 ¶¬Ê®Èý 2026-03-18 5/250 2026-03-21 00:16 by JourneyLucky
[¿¼ÑÐ] 295Çóµ÷¼Á +4 Ò»Ö¾Ô¸¾©Çø211 2026-03-18 6/300 2026-03-20 23:41 by JourneyLucky
[¿¼ÑÐ] Ò»Ö¾Ô¸ÖÐÄÏ»¯Ñ§£¨0703£©×Ü·Ö337Çóµ÷¼Á +8 niko- 2026-03-19 9/450 2026-03-20 21:57 by luoyongfeng
[¿¼ÑÐ] AÇøÏß²ÄÁÏѧµ÷¼Á +5 ÖÜÖÜÎÞ¼« 2026-03-20 5/250 2026-03-20 21:33 by laoshidan
[¿¼ÑÐ] 295¸´ÊÔµ÷¼Á +8 ¼òľChuFront 2026-03-19 8/400 2026-03-20 20:44 by zhukairuo
[¿¼ÑÐ] 0817 »¯Ñ§¹¤³Ì 299·ÖÇóµ÷¼Á ÓпÆÑо­Àú ÓжþÇøÎÄÕ +22 rare12345 2026-03-18 22/1100 2026-03-20 20:39 by zhukairuo
[¿¼ÑÐ] Ò»Ö¾Ô¸ ÄϾ©º½¿Õº½Ìì´óѧ´óѧ £¬080500²ÄÁÏ¿ÆÑ§Ó빤³Ìѧ˶ +5 @taotao 2026-03-20 5/250 2026-03-20 20:16 by JourneyLucky
[¿¼ÑÐ] 261ÇóBÇøµ÷¼Á£¬¿ÆÑо­Àú·á¸» +3 Å£Ä̺Üæ 2026-03-20 4/200 2026-03-20 19:34 by JourneyLucky
[¿¼ÑÐ] ÄÜÔ´²ÄÁÏ»¯Ñ§¿ÎÌâ×éÕÐÊÕ˶ʿÑо¿Éú8-10Ãû +5 ÍÑÓ±¶ø³ö 2026-03-16 14/700 2026-03-20 09:30 by kkcoco25
[¿¼ÑÐ] 0703»¯Ñ§µ÷¼Á +4 18889395102 2026-03-18 4/200 2026-03-19 16:13 by 30660438
[¿¼ÑÐ] 085601²ÄÁϹ¤³Ìר˶Çóµ÷¼Á +10 Ľº®mio 2026-03-16 10/500 2026-03-19 15:26 by ¶¡¶¡*
[¿¼ÑÐ] ±¾¿ÆÖ£ÖÝ´óѧÎïÀíѧԺ£¬Ò»Ö¾Ô¸»ª¿Æ070200ѧ˶£¬346Çóµ÷¼Á +4 ÎÒ²»ÊÇÒ»¸ù´Ð 2026-03-18 4/200 2026-03-19 09:11 by ¸¡ÔÆ166
[¿¼ÑÐ] 334Çóµ÷¼Á +3 Ö¾´æ¸ßÔ¶ÒâÔÚ»úÐ 2026-03-16 3/150 2026-03-18 08:34 by lm4875102
[˶²©¼ÒÔ°] ºþ±±¹¤Òµ´óѧ ÉúÃü¿ÆÑ§Ó뽡¿µÑ§Ôº-¿ÎÌâ×éÕÐÊÕ2026¼¶Ê³Æ·/ÉúÎï·½Ïò˶ʿ +3 1ϲ´º8 2026-03-17 5/250 2026-03-17 17:18 by ber´¨cool×Ó
[¿¼ÑÐ] 11408 Ò»Ö¾Ô¸Î÷µç£¬277·ÖÇóµ÷¼Á +3 zhouzhen654 2026-03-16 3/150 2026-03-17 07:03 by laoshidan
[¿¼ÑÐ] 0854¿ØÖƹ¤³Ì 359Çóµ÷¼Á ¿É¿çרҵ +3 626776879 2026-03-14 9/450 2026-03-16 17:42 by 626776879
[¿¼ÑÐ] Öпƴó²ÄÁÏÓ뻯¹¤319Çóµ÷¼Á +3 ÃÏöβÄÁÏ 2026-03-14 3/150 2026-03-14 20:10 by ms629
[¿¼ÑÐ] 289Çóµ÷¼Á +4 ÕâôÃû×ÖÕ¦Ñù 2026-03-14 6/300 2026-03-14 18:58 by userper
ÐÅÏ¢Ìáʾ
ÇëÌî´¦ÀíÒâ¼û