| 查看: 663 | 回复: 1 | ||
北方狼族新虫 (小有名气)
|
[求助]
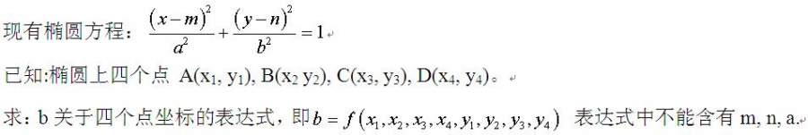
四元二次方程求解,约束条件充分 已有1人参与
|
|
![]() |
||
|
|
||
peterflyer
|
【答案】应助回帖
★ ★ ★ ★ ★ ★ ★ ★ ★ ★ ★ ★ ★ ★ ★ ★ ★ ★ ★ ★ ★ ★ ★ ★ ★ ★ ★ ★ ★ ★ ★ ★ ★ ★ ★ ★ ★ ★ ★ ★ ★ ★ ★ ★ ★ ★ ★ ★ ★ ★ ★ ★ ...
感谢参与,应助指数 +1 北方狼族: 金币+100, ★★★★★最佳答案, 感谢回复,然而方程依然 2016-06-02 10:55:23
|
|
|
2楼2016-06-01 13:11:59
|
|













回复此楼
