| ²é¿´: 815 | »Ø¸´: 5 | ||
wsqcocгæ (ÖøÃûдÊÖ)
|
[ÇóÖú]
CVÇúÏßÎÊÌâ--Çó³æÓѰïæ½â´ð
|
|
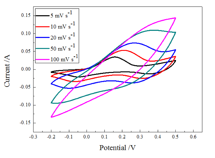
Èçͼ£¬ÎҵIJÄÁÏɨCVÒ»¸öÑõ»¯·å¶ÔÓ¦ÁËÁ½¸ö»¹Ô·å£¬ÕâÔõô½âÊÍÄØ£¿ ·¢×ÔСľ³æIOS¿Í»§¶Ë |
» ²ÂÄãϲ»¶
Ò»Ö¾Ô¸ÎäÀí²ÄÁÏ305·ÖÇóµ÷¼Á
ÒѾÓÐ7È˻ظ´
Ò»Ö¾Ô¸Î÷ÄϽ»´ó£¬Çóµ÷¼Á
ÒѾÓÐ5È˻ظ´
½ðÊô²ÄÁÏÂÛÎÄÈóÉ«/·ÒëÔõôÊÕ·Ñ?
ÒѾÓÐ51È˻ظ´
²ÄÁÏרҵÇóµ÷¼Á
ÒѾÓÐ11È˻ظ´
295²ÄÁÏÇóµ÷¼Á£¬Ò»Ö¾Ô¸Î人Àí¹¤085601ר˶
ÒѾÓÐ5È˻ظ´
¡¾ÕÐÉúÐû´«¡¿Î÷½»ÀûÎïÆÖ´óѧ¸ß¼¶»¯Ñ§Ë¶Ê¿£¨MSc Advanced Chemical Science£©2026ÕÐÉú
ÒѾÓÐ0È˻ظ´
ÆÏÌÑÌÇËáÄÆ×÷Ϊ»ìÄýÍÁ»ºÄý¼ÁµÄ¹Ø¼üÖ¸±ê
ÒѾÓÐ0È˻ظ´
Ò»Ö¾Ô¸Î÷ÄϽ»Í¨´óѧ085600²ÄÁÏÓ뻯¹¤£¬×Ü·Ö316£¬Çóµ÷¼Á
ÒѾÓÐ3È˻ظ´
¡¾MPÆÚ¿¯¡¿ÇàÄê±àίÕÐļ¿ªÆô£¡¼ÓÈëÎÒÃÇ£¬Ò»ÆðÍÆ¶¯²ÄÁÏ¿ÆÑ§Ç°ÑØ
ÒѾÓÐ10È˻ظ´
275Çóµ÷¼Á
ÒѾÓÐ14È˻ظ´
» ±¾Ö÷ÌâÏà¹ØÉ̼ÒÍÆ¼ö: (ÎÒÒ²ÒªÔÚÕâÀïÍÆ¹ã)
still£¿
гæ (ÕýʽдÊÖ)
- Ó¦Öú: 0 (Ó×¶ùÔ°)
- ½ð±Ò: 1623.6
- ºì»¨: 1
- Ìû×Ó: 467
- ÔÚÏß: 18.3Сʱ
- ³æºÅ: 4352575
- ×¢²á: 2016-01-12
- רҵ: Äý¾Û̬ÎïÐÔI:½á¹¹¡¢Á¦Ñ§ºÍ
2Â¥2016-05-27 23:48:28
wsqcoc
гæ (ÖøÃûдÊÖ)
- Ó¦Öú: 0 (Ó×¶ùÔ°)
- ½ð±Ò: 4225.2
- É¢½ð: 1345
- ºì»¨: 6
- Ìû×Ó: 1145
- ÔÚÏß: 166.5Сʱ
- ³æºÅ: 4543591
- ×¢²á: 2016-03-26
- רҵ: ÎÞ»ú·Ç½ðÊô²ÄÁÏ
|
ÎÒµÄÊÇËÄÑõ»¯ÈýîÜ£¬ÎÄÏ×É϶¼Ã»ÓгöÏÖÁ½¸ö»¹Ô·åµÄÇé¿ö£¬Ò»Ö±²»ÖªµÀÔõô½âÊÍ¡£ ·¢×ÔСľ³æIOS¿Í»§¶Ë |
3Â¥2016-05-28 14:36:01
lqm070
Ìú¸Ëľ³æ (ÖøÃûдÊÖ)
- Ó¦Öú: 3 (Ó×¶ùÔ°)
- ½ð±Ò: 11493
- É¢½ð: 1051
- ºì»¨: 13
- Ìû×Ó: 2269
- ÔÚÏß: 349.9Сʱ
- ³æºÅ: 2798012
- ×¢²á: 2013-11-13
- רҵ: °ëµ¼Ìå¹âµç×ÓÆ÷¼þ
4Â¥2016-05-28 16:34:31
wsqcoc
гæ (ÖøÃûдÊÖ)
- Ó¦Öú: 0 (Ó×¶ùÔ°)
- ½ð±Ò: 4225.2
- É¢½ð: 1345
- ºì»¨: 6
- Ìû×Ó: 1145
- ÔÚÏß: 166.5Сʱ
- ³æºÅ: 4543591
- ×¢²á: 2016-03-26
- רҵ: ÎÞ»ú·Ç½ðÊô²ÄÁÏ
5Â¥2016-05-28 17:08:43
ÄäÃû
Óû§×¢Ïú (ÕýʽдÊÖ)
- Ó¦Öú: 32 (СѧÉú)
- ½ð±Ò: 971.9
- É¢½ð: 125
- ºì»¨: 22
- Ìû×Ó: 357
- ÔÚÏß: 43.5Сʱ
- ³æºÅ: 0
- ×¢²á: 2016-04-26
- ÐÔ±ð: GG
- רҵ: µç»¯Ñ§
6Â¥2016-05-30 14:04:21














»Ø¸´´ËÂ¥
