| ²é¿´: 2141 | »Ø¸´: 11 | ||
Number2016гæ (³õÈëÎÄ̳)
|
[ÇóÖú]
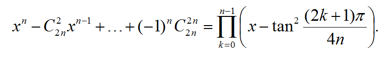
ÏßÐÔ´úÊý¶àÏîʽ ÒÑÓÐ1È˲ÎÓë
|
|
|
¹òÇó´óÉñ½â´ð ·¢×ÔСľ³æIOS¿Í»§¶Ë |
» ²ÂÄãϲ»¶
270Çóµ÷¼Á
ÒѾÓÐ8È˻ظ´
211±¾¿Æ²ÄÁÏ»¯¹¤Çóµ÷¼Á
ÒѾÓÐ6È˻ظ´
Çóµ÷¼Á
ÒѾÓÐ10È˻ظ´
Çóµ÷¼Á
ÒѾÓÐ11È˻ظ´
272·Ö²ÄÁÏ×ÓÇóµ÷¼Á
ÒѾÓÐ43È˻ظ´
271Çóµ÷¼Á
ÒѾÓÐ13È˻ظ´
283Çóµ÷¼Á 086004¿¼Ó¢¶þÊý¶þ
ÒѾÓÐ16È˻ظ´
085410 273·Öµ÷¼Á
ÒѾÓÐ4È˻ظ´
Ò»Ö¾Ô¸Ïôó0856£¬306Çóµ÷¼Á
ÒѾÓÐ3È˻ظ´
304Çóµ÷¼Á£¨085602£¬¹ýËļ¶£¬Ò»Ö¾Ô¸985£©
ÒѾÓÐ28È˻ظ´
» ±¾Ö÷ÌâÏà¹Ø¼ÛÖµÌùÍÆ¼ö£¬¶ÔÄúͬÑùÓаïÖú:
COMSOL Multiphysics 5.0
ÒѾÓÐ508È˻ظ´
MATLAB³ÌÐòÉè¼ÆÓ빤³ÌÓ¦ÓÃ
ÒѾÓÐ144È˻ظ´
¡¾¿Î¼þ¡¿matlabÔÚ¿ÆÑ§¼ÆËãÖеÄÓ¦Óá¾Öйú¿ÆÑ§ÔºÑо¿ÉúÔº¡¿
ÒѾÓÐ45È˻ظ´
ÇóÖúÒ»¸öÏßÐÔ´úÊýÌâ~
ÒѾÓÐ1È˻ظ´
++++++»¯Ñ§¹¤³Ìʦ¿¼ÊÔ¿ÆÄ¿·ÖÏí++++++
ÒѾÓÐ96È˻ظ´
ÄϾ©Ê¦·¶´óѧ52Ïî¹ú¼Ò»ù½ðÏîÄ¿Çåµ¥
ÒѾÓÐ6È˻ظ´
¡¾·ÖÏí¡¿10ÄêÊý2´ó¸Ù£¡£¡
ÒѾÓÐ13È˻ظ´
¡¾¿Î¼þ¡¿×îÓÅ»¯ÀíÂÛ£¨¼ÓÄôóά¶àÀûÑÇ´óѧ£©
ÒѾÓÐ18È˻ظ´
¡¾Êé¼®¡¿¡¶Í³¼ÆÓë×ÔÊÊÓ¦ÐźŴ¦Àí¡·D.G.Manolakis Öø
ÒѾÓÐ14È˻ظ´
¡¾Êé¼®¡¿¡¶³£ÓÃËã·¨³ÌÐò¼¯¡·
ÒѾÓÐ44È˻ظ´
¡¾Êé¼®¡¿¡¶¾«Í¨Matlab×ۺϸ¨µ¼ÓëÖ¸ÄÏ¡·
ÒѾÓÐ16È˻ظ´
iάÊý
ľ³æ (ÕýʽдÊÖ)
- ÊýѧEPI: 4
- Ó¦Öú: 74 (³õÖÐÉú)
- ½ð±Ò: 3148.6
- ºì»¨: 10
- Ìû×Ó: 691
- ÔÚÏß: 941.9Сʱ
- ³æºÅ: 3691318
- ×¢²á: 2015-02-17
- ÐÔ±ð: GG
- רҵ: ƫ΢·Ö·½³Ì
¡¾´ð°¸¡¿Ó¦Öú»ØÌû
¡ï ¡ï ¡ï ¡ï ¡ï ¡ï ¡ï ¡ï ¡ï ¡ï
Number2016: ½ð±Ò+10, ¡ï¡ï¡ï¡ï¡ï×î¼Ñ´ð°¸, ºÜºÃ½â¾öÁËÎÒµÄÎÊÌâ 2016-05-27 19:05:56
Number2016: ½ð±Ò+10, ¡ï¡ï¡ï¡ï¡ï×î¼Ñ´ð°¸, ºÜºÃ½â¾öÁËÎÒµÄÎÊÌâ 2016-05-27 19:05:56
» ±¾ÌûÒÑ»ñµÃµÄºì»¨£¨×îÐÂ10¶ä£©
7Â¥2016-05-27 18:32:31
gold2007
¾èÖú¹ó±ö (ÕýʽдÊÖ)
- Ó¦Öú: 6 (Ó×¶ùÔ°)
- ½ð±Ò: 6394.3
- É¢½ð: 679
- ºì»¨: 18
- Ìû×Ó: 824
- ÔÚÏß: 200.6Сʱ
- ³æºÅ: 2348409
- ×¢²á: 2013-03-12
- רҵ: ¹ÌÌåÁ¦Ñ§
2Â¥2016-05-27 18:01:36
iάÊý
ľ³æ (ÕýʽдÊÖ)
- ÊýѧEPI: 4
- Ó¦Öú: 74 (³õÖÐÉú)
- ½ð±Ò: 3148.6
- ºì»¨: 10
- Ìû×Ó: 691
- ÔÚÏß: 941.9Сʱ
- ³æºÅ: 3691318
- ×¢²á: 2015-02-17
- ÐÔ±ð: GG
- רҵ: ƫ΢·Ö·½³Ì
3Â¥2016-05-27 18:11:16
iάÊý
ľ³æ (ÕýʽдÊÖ)
- ÊýѧEPI: 4
- Ó¦Öú: 74 (³õÖÐÉú)
- ½ð±Ò: 3148.6
- ºì»¨: 10
- Ìû×Ó: 691
- ÔÚÏß: 941.9Сʱ
- ³æºÅ: 3691318
- ×¢²á: 2015-02-17
- ÐÔ±ð: GG
- רҵ: ƫ΢·Ö·½³Ì
|
ÖÁÓÚÈçºÎÕ¹¿ªcos(nx),×î¿ìµÄ·½·¨µ±È»¾ÍÊÇ¿¼ÂÇ£¨cosx+isinx)^n,È»ºó¶þÏîÕ¹¿ª£¬ÓÃé¦Äª¸¥¶¨Àí£¬¶Ô±ÈʵÐ鲿¼´¿É¡£Èç¹ûÄãÒª³õµÈµÄÖ¤·¨¿ÉÒÔÓÃÊýѧ¹éÄÉ·¨À´ÍêÕûÖ¤Ã÷¡£ |
9Â¥2016-05-27 18:36:32
iάÊý
ľ³æ (ÕýʽдÊÖ)
- ÊýѧEPI: 4
- Ó¦Öú: 74 (³õÖÐÉú)
- ½ð±Ò: 3148.6
- ºì»¨: 10
- Ìû×Ó: 691
- ÔÚÏß: 941.9Сʱ
- ³æºÅ: 3691318
- ×¢²á: 2015-02-17
- ÐÔ±ð: GG
- רҵ: ƫ΢·Ö·½³Ì
4Â¥2016-05-27 18:15:21
gold2007
¾èÖú¹ó±ö (ÕýʽдÊÖ)
- Ó¦Öú: 6 (Ó×¶ùÔ°)
- ½ð±Ò: 6394.3
- É¢½ð: 679
- ºì»¨: 18
- Ìû×Ó: 824
- ÔÚÏß: 200.6Сʱ
- ³æºÅ: 2348409
- ×¢²á: 2013-03-12
- רҵ: ¹ÌÌåÁ¦Ñ§
5Â¥2016-05-27 18:20:45
Number2016
гæ (³õÈëÎÄ̳)
- Ó¦Öú: 0 (Ó×¶ùÔ°)
- ½ð±Ò: 209.8
- Ìû×Ó: 8
- ÔÚÏß: 4.3Сʱ
- ³æºÅ: 4545593
- ×¢²á: 2016-03-27
- ÐÔ±ð: GG
- רҵ: ÀíÂۺͼÆË㻯ѧ
6Â¥2016-05-27 18:31:55
iάÊý
ľ³æ (ÕýʽдÊÖ)
- ÊýѧEPI: 4
- Ó¦Öú: 74 (³õÖÐÉú)
- ½ð±Ò: 3148.6
- ºì»¨: 10
- Ìû×Ó: 691
- ÔÚÏß: 941.9Сʱ
- ³æºÅ: 3691318
- ×¢²á: 2015-02-17
- ÐÔ±ð: GG
- רҵ: ƫ΢·Ö·½³Ì
8Â¥2016-05-27 18:33:11
hank612
ÖÁ×ðľ³æ (ÖøÃûдÊÖ)
- ÊýѧEPI: 14
- Ó¦Öú: 225 (´óѧÉú)
- ½ð±Ò: 14270.6
- É¢½ð: 1055
- ºì»¨: 95
- Ìû×Ó: 1526
- ÔÚÏß: 1375.8Сʱ
- ³æºÅ: 2530333
- ×¢²á: 2013-07-03
- ÐÔ±ð: GG
- רҵ: ÀíÂۺͼÆË㻯ѧ

10Â¥2016-05-27 22:56:23













»Ø¸´´ËÂ¥
hank612
20