| 查看: 2535 | 回复: 1 | ||
caiaijun80银虫 (著名写手)
|
[求助]
如何从DRS图谱看出吸收带边的移动?
|
|
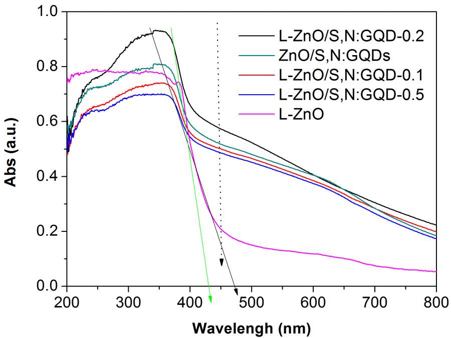
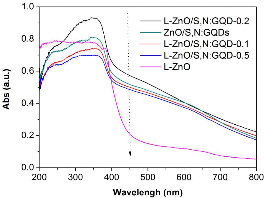
各位高手,我有个图请帮忙看看:L-ZnO/S,N:GQDs与L-ZnO究竟是红移还是蓝移了呢?审稿专家说发生了蓝移(还是absorption adges分别是400和450nm?-----费解!)。可是我怎么也看不出是蓝移呀!我看有的文献说做切线???(图2是我做的切线,也不知道通过做切线是否能看出absorption edges的变化), 1.jpg 2.jpg |
» 猜你喜欢
湖北师范大学复试调剂
已经有0人回复
武汉纺织大学_化工学院官方调剂群-院士团队招生-学生自由度高-每届发展好
已经有0人回复
金属材料论文润色/翻译怎么收费?
已经有223人回复
济南大学国家优青课题组 2026 调剂招生来啦
已经有0人回复
武汉纺织大学_化学院官方调剂群-院士团队招生-学生自由度高发展好-欢迎各位同学
已经有0人回复
河北大学 材料与化工 硕士招收调剂
已经有0人回复
西华大学 化学 调剂有名额
已经有0人回复
上海应用技术大学招生调剂研究生
已经有3人回复
caiaijun80
银虫 (著名写手)
- 应助: 0 (幼儿园)
- 金币: 539.5
- 散金: 67
- 红花: 4
- 帖子: 1467
- 在线: 312.7小时
- 虫号: 295231
- 注册: 2006-11-11
- 性别: GG
- 专业: 生物海洋学与海洋生物资源
2楼2016-05-29 14:57:03














回复此楼