| 查看: 2372 | 回复: 5 | ||||
Edstrayer版主 (著名写手)
方寸斗室小天地正气迷漫大世界
|
[交流]
如下无穷级数如何求其和? 已有1人参与
|
|
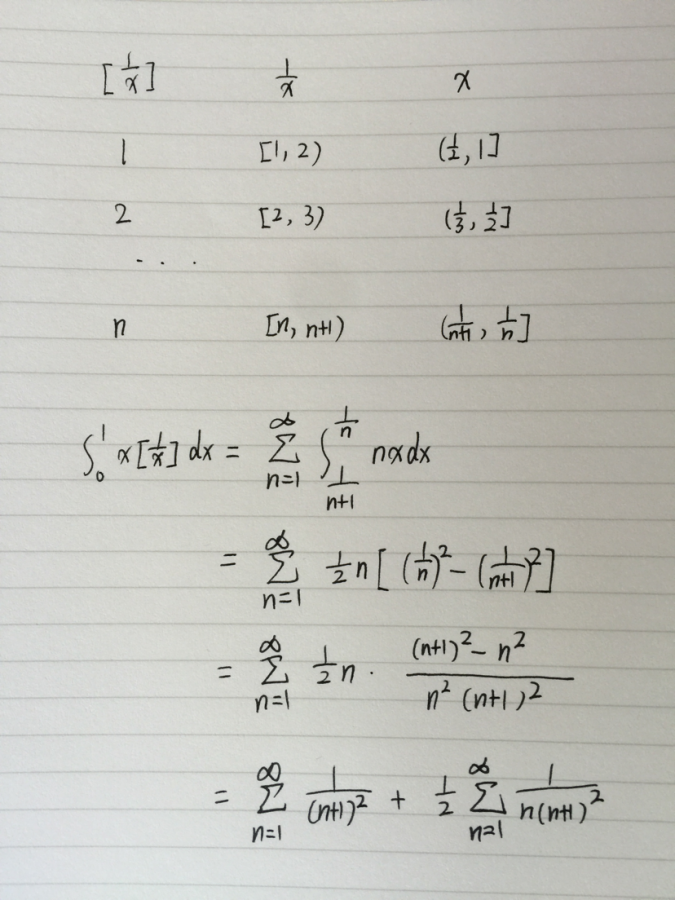
如下无穷级数如何求其和? 进一步地,由此推出下面的积分存在有限: |
» 收录本帖的淘帖专辑推荐
大学数学习题汇刊专辑 |
» 猜你喜欢
一志愿0817化学工程与技术,求调剂
已经有8人回复
271分求调剂学校
已经有3人回复
285求调剂
已经有4人回复
生物学308分求调剂(一志愿华东师大)
已经有7人回复
296材料专硕求调剂
已经有18人回复
材料与化工306分找调剂
已经有18人回复
302求调剂
已经有9人回复
一志愿北京科技大学材料工程085601,求调剂
已经有11人回复
283分材料与化工求调剂
已经有19人回复
326求调剂
已经有8人回复

i维数
木虫 (正式写手)
- 数学EPI: 4
- 应助: 74 (初中生)
- 金币: 3148.6
- 红花: 10
- 帖子: 691
- 在线: 941.9小时
- 虫号: 3691318
- 注册: 2015-02-17
- 性别: GG
- 专业: 偏微分方程
2楼2016-05-27 08:22:50
Edstrayer
版主 (著名写手)
方寸斗室小天地正气迷漫大世界
- 数学EPI: 7
- 应助: 157 (高中生)
- 贵宾: 0.927
- 金币: 9349.6
- 散金: 4503
- 红花: 77
- 沙发: 2
- 帖子: 2745
- 在线: 1465.6小时
- 虫号: 3086598
- 注册: 2014-03-25
- 管辖: 数学

3楼2016-05-30 05:30:22
gold2007
捐助贵宾 (正式写手)
- 应助: 6 (幼儿园)
- 金币: 6394.3
- 散金: 679
- 红花: 18
- 帖子: 824
- 在线: 200.6小时
- 虫号: 2348409
- 注册: 2013-03-12
- 专业: 固体力学
4楼2016-05-30 07:31:12
sskkyy
银虫 (正式写手)
- 数学EPI: 1
- 应助: 180 (高中生)
- 金币: 1017.9
- 散金: 376
- 红花: 18
- 帖子: 742
- 在线: 245.1小时
- 虫号: 1324155
- 注册: 2011-06-16
- 专业: 拓扑学
5楼2016-05-30 08:15:20
Edstrayer
版主 (著名写手)
方寸斗室小天地正气迷漫大世界
- 数学EPI: 7
- 应助: 157 (高中生)
- 贵宾: 0.927
- 金币: 9349.6
- 散金: 4503
- 红花: 77
- 沙发: 2
- 帖子: 2745
- 在线: 1465.6小时
- 虫号: 3086598
- 注册: 2014-03-25
- 管辖: 数学

6楼2016-05-30 08:19:07














回复此楼