| 查看: 340 | 回复: 2 | ||
[求助]
这个磁性图什么意思
|
|
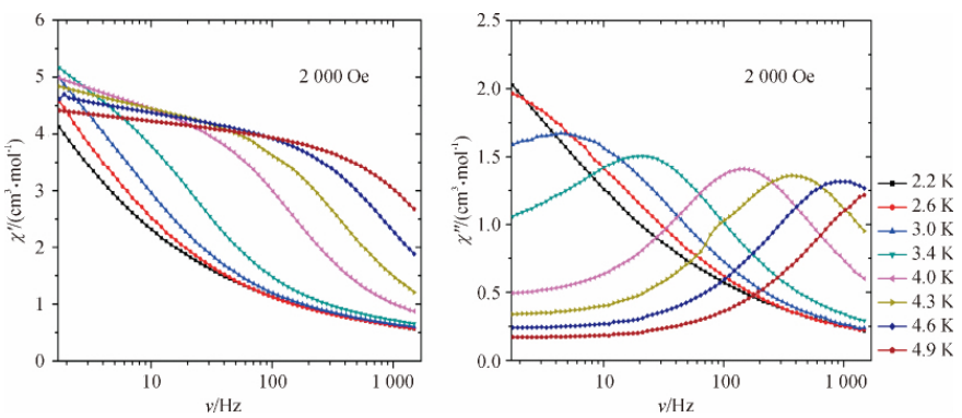
RT,求大神指导! PS:推荐入门的书籍也行啊 ![]() ![]() ![]() 磁性物理.png@chinaworm |
» 猜你喜欢
博士读完未来一定会好吗
已经有15人回复
心脉受损
已经有4人回复
Springer期刊投稿求助
已经有4人回复
读博
已经有3人回复
小论文投稿
已经有3人回复
Bioresource Technology期刊,第一次返修的时候被退回好几次了
已经有9人回复
到新单位后,换了新的研究方向,没有团队,持续积累2区以上论文,能申请到面上吗
已经有8人回复
申请2026年博士
已经有6人回复
请问哪里可以有青B申请的本子可以借鉴一下。
已经有5人回复
2楼2016-05-26 22:50:21
扬帆A心海
木虫 (著名写手)
- 应助: 59 (初中生)
- 金币: 2170.4
- 散金: 379
- 红花: 24
- 帖子: 2079
- 在线: 221.1小时
- 虫号: 2182436
- 注册: 2012-12-12
- 性别: GG
- 专业: 人工晶体
3楼2016-05-27 00:01:38














回复此楼