| 查看: 954 | 回复: 5 | ||
hui470新虫 (小有名气)
|
[求助]
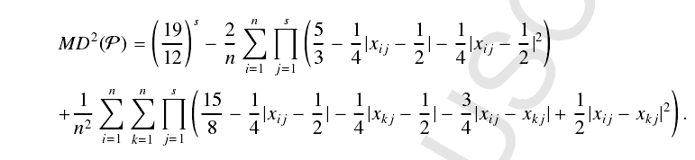
MATAB编程求数值计算问题已有1人参与
|
|
|
|
||
bluesine铁杆木虫 (职业作家)
科苑小木虫
|
【答案】应助回帖
★ ★ ★ ★ ★ ★ ★ ★ ★ ★ ★ ★ ★ ★ ★ ★ ★ ★ ★ ★ ★ ★ ★ ★ ★ ★ ★ ★ ★ ★ ★ ★ ★ ★ ★ ★ ★ ★ ★ ★ ★ ★ ★ ★ ★ ★ ★ ★ ★ ★ ★ ★ ...
感谢参与,应助指数 +1 hui470: 金币+100, ★★★★★最佳答案, 完美解决了问题~~ 2016-05-27 13:13:37
» 本帖已获得的红花(最新10朵) |
|
![]() |
||
|
2楼2016-05-27 10:44:53
|
|
|
hui470新虫 (小有名气)
|
||
|
3楼2016-05-27 13:12:27
|
|
|
bluesine铁杆木虫 (职业作家)
科苑小木虫
|
||
![]() |
||
|
4楼2016-05-27 16:17:32
|
|
|
|
5楼2016-05-27 20:02:37
|
|
|
|
6楼2016-05-27 20:37:41
|
|













回复此楼
hui470

