| ²é¿´: 1493 | »Ø¸´: 10 | |||
wintreeľ³æ (ÕýʽдÊÖ)
|
[½»Á÷]
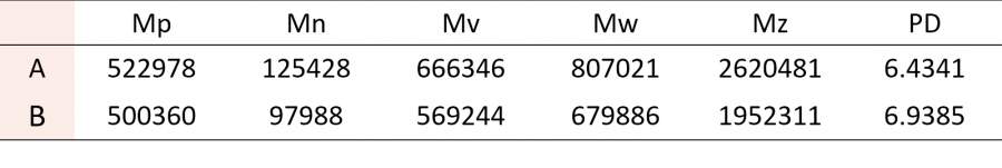
ÕâÁ½¸öÁÏ¿ÉÄÜÊÇÒ»ÖÖÂ𣿠ÒÑÓÐ8È˲ÎÓë
|
||
» ±¾Ö÷ÌâÏà¹Ø¼ÛÖµÌùÍÆ¼ö£¬¶ÔÄúͬÑùÓаïÖú:
3D´òÓ¡£¬Äã×¼±¸ºÃÁËÂð£¿
ÒѾÓÐ3È˻ظ´
×öÌ«ÑôÄÜµç³Ø»¹ÊÇ×öÄ£Äâµç·£¿£¿
ÒѾÓÐ2È˻ظ´
ÄãµÄÁ³ÓÖ³ÔǦÁËÂ𣿼òÒ×·½·¨¼ø±ð»¯×±Æ·ÊÇ·ñº¬Ç¦
ÒѾÓÐ14È˻ظ´
¡°ÆðÔÆ¼Á¡±À´ÁË£¬ÒûÁÏ»¹ÄܺÈÂð£¿
ÒѾÓÐ2È˻ظ´
²»Ïë×öÀϰåµÄ²©ºó²»ÊǺò©ºóÂð£¿
ÒѾÓÐ60È˻ظ´
֪ʶÌù£¬ËÜ»¯¼ÁÊÇÉñÂí¸¡ÔÆ?!
ÒѾÓÐ4È˻ظ´
¡¾Éú»î¾Ñé¡¿ÉϺ£µÄÂøÍ·ÖÆÔì---½ñºóÎÒÃdzÔʲô£¿£¿£¿
ÒѾÓÐ5È˻ظ´
¡¾×ªÔØ¡¿ÐÅÂ𣿡¡
ÒѾÓÐ10È˻ظ´
¡¾ÌÖÂÛ¡¿¿´Ò»¿´ÕâÆªÎÄÕ°ɣ¬ÌåÄÚ»¯Ñ§¶¾ËØ¿ÉÒÔΣº¦ËÄ´ú........Ä㻹¸Ò×ö»¯Ñ§Â𣿣¿£¿
ÒѾÓÐ78È˻ظ´
[ÌÖÂÛ]Àϰ崴ҵ£¬Ô±¹¤Ò²Òª¸ú×Å´´ÒµÂð£¿
ÒѾÓÐ7È˻ظ´
laoshidan
ľ³æ (ÖøÃûдÊÖ)
- Ó¦Öú: 80 (³õÖÐÉú)
- ½ð±Ò: 9396.5
- É¢½ð: 91
- ºì»¨: 11
- Ìû×Ó: 1761
- ÔÚÏß: 406.9Сʱ
- ³æºÅ: 249394
- ×¢²á: 2006-05-06
- ÐÔ±ð: GG
- רҵ: ÏËά
¡ï ¡ï
Сľ³æ: ½ð±Ò+0.5, ¸ø¸öºì°ü£¬Ð»Ð»»ØÌû
wgs8136: ½ð±Ò+1, »¶ÓÓ¦Öú 2016-05-27 08:42:27
Сľ³æ: ½ð±Ò+0.5, ¸ø¸öºì°ü£¬Ð»Ð»»ØÌû
wgs8136: ½ð±Ò+1, »¶ÓÓ¦Öú 2016-05-27 08:42:27
| »¹ÓУ¬¸ß·Ö×Ó±¾ÉíÓкܴóµÄ²»¾ùÒ»ÐÔ£¬Ò»¸öÑùÆ·ÖØÐ²âÁ½´Î½á¹û²»Ò»ÑùºÜÕý³££¬ÓÈÆäÊǶԷÖ×ÓÁ¿·Ö²¼¿íµÄÎïÖÊ~ |
6Â¥2016-05-27 08:24:43
ÐÇÐǵļÒ
ľ³æ (ÖøÃûдÊÖ)
- Ó¦Öú: 31 (СѧÉú)
- ½ð±Ò: 3342
- É¢½ð: 32
- ºì»¨: 5
- Ìû×Ó: 2517
- ÔÚÏß: 325.2Сʱ
- ³æºÅ: 1278243
- ×¢²á: 2011-04-26
- ÐÔ±ð: MM
- רҵ: ¸ß·Ö×Ó¿ÆÑ§
¡ï
Сľ³æ: ½ð±Ò+0.5, ¸ø¸öºì°ü£¬Ð»Ð»»ØÌû
Сľ³æ: ½ð±Ò+0.5, ¸ø¸öºì°ü£¬Ð»Ð»»ØÌû
| ¿´GPC·ÖÎö·Ö×ÓÁ¿µÄ±ä»¯Ò»¶¨Òª¿¼ÂÇ·åÐÍÓÖû·¢Éú±ä»¯£¬ÌرðÊǶàÖØ·åµÄÐÎ×´´óС£¬µ¥´ÓÊý¾ÝÀ´¿´£¬ÎÒ¾øµÃÄãµÄ¶«Î÷ûÓз¢Éú±ä»¯£¬GPC±¾Éí´æÔÚÎó²î£¬Æä´Î¸ÄÐÔÌí¼ÓµÄÎïÖÊÔÚGPCÖÐÈç¹ûÏìÓ¦Öµ±È½ÏÇ¿Áҵϰ¼ÆËã³öÀ´µÄÊý¾ÝÒ²»á±ä»¯£¬PDIÔö¼ÓÒ²¿ÉÄܸúÕâÓйأ¬½¨ÒéÄãÖ±½Ó°ÑÁ½¸ö·åÖØµþµ½Ò»Æð¿´Ï£¬Èç¹ûºÜÃ÷ÏԵķ¢ÉúÓÒÒÆËµÃ÷½²½âÁË£¬Èç¹ûÖ»ÊÇÅԱ߶à³öÁËÒ»¸öС·å£¬ÎÒ¾õµÃûÎÊÌ⣬Æä´ÎÄãµÄ·åÖµMP»ù±¾Ã»Óб仯£¬ÎÒ»ù±¾ÅжÏÄãµÄ¶«Î÷ûÓз¢Éú½²½â£¬¾ÍÕâô¼òµ¥~~~~ |
7Â¥2016-05-28 11:27:48
FDKAsheep
ר¼Ò¹ËÎÊ (ÖøÃûдÊÖ)
-

ר¼Ò¾Ñé: +150 - Ó¦Öú: 342 (´óѧÉú)
- ¹ó±ö: 0.048
- ½ð±Ò: 8469.8
- ºì»¨: 30
- Ìû×Ó: 1059
- ÔÚÏß: 861.1Сʱ
- ³æºÅ: 473816
- ×¢²á: 2007-12-05
- ÐÔ±ð: GG
- רҵ: ¾ÛºÏÎï¹²»ìÓ븴ºÏ²ÄÁÏ
- ¹ÜϽ: ¸ß·Ö×Ó
2Â¥2016-05-25 12:17:30
wintree
ľ³æ (ÕýʽдÊÖ)
- Ó¦Öú: 6 (Ó×¶ùÔ°)
- ½ð±Ò: 3002.3
- ºì»¨: 11
- Ìû×Ó: 313
- ÔÚÏß: 113.7Сʱ
- ³æºÅ: 916639
- ×¢²á: 2009-11-30
- רҵ: ¸ß·Ö×ÓÖú¼Á
3Â¥2016-05-26 07:43:21
FDKAsheep
ר¼Ò¹ËÎÊ (ÖøÃûдÊÖ)
-

ר¼Ò¾Ñé: +150 - Ó¦Öú: 342 (´óѧÉú)
- ¹ó±ö: 0.048
- ½ð±Ò: 8469.8
- ºì»¨: 30
- Ìû×Ó: 1059
- ÔÚÏß: 861.1Сʱ
- ³æºÅ: 473816
- ×¢²á: 2007-12-05
- ÐÔ±ð: GG
- רҵ: ¾ÛºÏÎï¹²»ìÓ븴ºÏ²ÄÁÏ
- ¹ÜϽ: ¸ß·Ö×Ó
4Â¥2016-05-26 08:48:19
wyf542341
ľ³æ (ÖøÃûдÊÖ)
ÔÓ±ø
- Ó¦Öú: 170 (¸ßÖÐÉú)
- ½ð±Ò: 1998.2
- É¢½ð: 50
- ºì»¨: 6
- Ìû×Ó: 1420
- ÔÚÏß: 363.4Сʱ
- ³æºÅ: 1077912
- ×¢²á: 2010-08-19
- ÐÔ±ð: GG
- רҵ: Óлú¸ß·Ö×Ó¹¦ÄܲÄÁÏ
¡ï ¡ï
Сľ³æ: ½ð±Ò+0.5, ¸ø¸öºì°ü£¬Ð»Ð»»ØÌû
wgs8136: ½ð±Ò+1, »¶Ó½»Á÷ 2016-05-27 08:42:18
Сľ³æ: ½ð±Ò+0.5, ¸ø¸öºì°ü£¬Ð»Ð»»ØÌû
wgs8136: ½ð±Ò+1, »¶Ó½»Á÷ 2016-05-27 08:42:18
|
Ò»°ãÇé¿öÏÂÔìÁ£²»ÄÜ·¢ÉúÌ«´ó·Ö×ÓÁ¿µÄ±ä»¯£¬²»È»ÔÚÔìÁ£¹ý³ÌÖж¼½µ½âÁË£¬ËµÃ÷¶Ô·½µÄÔìÁ£¹¤ÒÕ²»¿ÉÈ¡£¬½µ½âÒ»°ãÒ²¿ÉÒÔͨ¹ýÑÕÉ«À´´ÖÂÔÅжϡ£½öÓÉGPC½á¹ûÀ´¿´£¬¿ÉÄÜ·¢ÉúÁ˽µ½â¡£ ÁíÍ⣬ÓÉÓÚÁ£ÁϽøÐÐÁ˸ÄÐÔ£¬Òò´ËÊÇ·ñÊǸÄÐÔ¼ÁµÄ´æÔÚÔì³ÉÁËGPC²âÊԵIJî±ðÓдý¿¼Ö¤¡£ÀýÈç¶ÔÓÚÒÔDMFΪÁ÷¶¯ÏàµÄGPC²âÊÔ£¬ºÜµÍŨ¶ÈµÄÑÎÀàµÄ´æÔÚ¶¼»áÓ°Ïìµ½²âÊÔ½á¹û¡£ |

5Â¥2016-05-26 14:28:44
xiaoLifeiD
ÖÁ×ðľ³æ (ÖªÃû×÷¼Ò)
- PEPI: 6
- Ó¦Öú: 930 (²©ºó)
- ¹ó±ö: 0.431
- ½ð±Ò: 26749.8
- É¢½ð: 371
- ºì»¨: 149
- ɳ·¢: 1
- Ìû×Ó: 7194
- ÔÚÏß: 781.3Сʱ
- ³æºÅ: 303007
- ×¢²á: 2006-12-03
- רҵ: ¸ß·Ö×Ó¿ÆÑ§

8Â¥2016-05-28 11:35:02
metallocene
Ìú³æ (ÕýʽдÊÖ)
- Ó¦Öú: 21 (СѧÉú)
- ½ð±Ò: 21.3
- ºì»¨: 3
- Ìû×Ó: 842
- ÔÚÏß: 196.3Сʱ
- ³æºÅ: 453576
- ×¢²á: 2007-11-07
- ÐÔ±ð: GG
- רҵ: ¸ß·Ö×Ó²ÄÁϵļӹ¤Óë³ÉÐÍ

9Â¥2016-06-07 23:13:22
nhhuang1223
ľ³æ (ÖøÃûдÊÖ)
- Ó¦Öú: 2 (Ó×¶ùÔ°)
- ½ð±Ò: 5259.6
- É¢½ð: 601
- ºì»¨: 12
- Ìû×Ó: 2183
- ÔÚÏß: 1235.9Сʱ
- ³æºÅ: 322525
- ×¢²á: 2007-03-11
- ÐÔ±ð: GG
- רҵ: ¾ÛºÏÎï¹²»ìÓ븴ºÏ²ÄÁÏ
10Â¥2016-10-09 13:56:06













»Ø¸´´ËÂ¥