| 查看: 505 | 回复: 0 | ||
[求助]
急求matlab中Runge-Kutta方法如何求一下公式的解
|
|
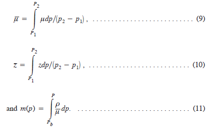
各位大神,matlab中Runge-Kutta方法如何求一下公式的解 The average real gas deviation factor, z=∫zdp/(p1-p2) , 求P1到P2的积分 m(p)=∫(ρ/μ)dp, 求P1到P2的积分 其ρ为密度,μ为粘度,z为气体偏差因子 matlab求解.png |
» 猜你喜欢
孩子确诊有中度注意力缺陷
已经有12人回复
2025冷门绝学什么时候出结果
已经有3人回复
天津工业大学郑柳春团队欢迎化学化工、高分子化学或有机合成方向的博士生和硕士生加入
已经有4人回复
康复大学泰山学者周祺惠团队招收博士研究生
已经有6人回复
AI论文写作工具:是科研加速器还是学术作弊器?
已经有3人回复
2026博士申请-功能高分子,水凝胶方向
已经有6人回复
论文投稿,期刊推荐
已经有4人回复
硕士和导师闹得不愉快
已经有13人回复
请问2026国家基金面上项目会启动申2停1吗
已经有5人回复
同一篇文章,用不同账号投稿对编辑决定是否送审有没有影响?
已经有3人回复













回复此楼