| 查看: 2064 | 回复: 8 | |||
[求助]
这样的图用waterfall怎么画已有2人参与
|
|
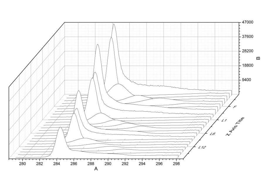
各位大神,我在画XPS图时,想画成第一个图的样子,但是我用origin的waterfall的功能画出来是第二幅图的样子,不知道怎么才能画成第一个图?我这是三个样品的C峰,中间的分的峰怎么也弄不到一个平面上去。 跪求各位大神帮忙 无标题.jpg 1.jpg |
» 收录本帖的淘帖专辑推荐
数据绘图 |
» 猜你喜欢
5--羟甲基糠醛电催化氧化性能测试
已经有0人回复
钛粉末烧结材料寻求新的应用范围
已经有0人回复
金属材料论文润色/翻译怎么收费?
已经有208人回复
realpal00147
铁杆木虫 (著名写手)
- 应助: 13 (小学生)
- 金币: 12416.5
- 红花: 4
- 帖子: 2027
- 在线: 325.6小时
- 虫号: 506244
- 注册: 2008-02-18
- 专业: 生物与医学统计学
2楼2016-05-23 20:58:02
3楼2016-05-23 21:18:20
c1990427365
铁杆木虫 (著名写手)
江城科研小白
- 应助: 53 (初中生)
- 金币: 6463.5
- 散金: 713
- 红花: 14
- 帖子: 1292
- 在线: 514.8小时
- 虫号: 1460535
- 注册: 2011-10-25
- 性别: GG
- 专业: 金属材料的合金相、相变及

4楼2016-05-24 16:56:41
蓝孔雀
木虫 (正式写手)
- 应助: 230 (大学生)
- 金币: 5408.3
- 红花: 39
- 帖子: 907
- 在线: 111.6小时
- 虫号: 2895520
- 注册: 2013-12-26
- 性别: GG
- 专业: 无机材料化学
5楼2016-05-24 17:34:56
江晚正愁余
木虫 (著名写手)
- 应助: 8 (幼儿园)
- 金币: 3692.1
- 散金: 52
- 红花: 2
- 帖子: 1198
- 在线: 216.7小时
- 虫号: 1962530
- 注册: 2012-08-29
- 性别: GG
- 专业: 环境工程

6楼2016-05-24 19:21:31
sunshine1112
新虫 (小有名气)
- 应助: 0 (幼儿园)
- 金币: 1186.3
- 红花: 1
- 帖子: 154
- 在线: 57.2小时
- 虫号: 4026001
- 注册: 2015-08-17
- 性别: GG
- 专业: 金属功能材料
7楼2016-05-24 19:40:48
8楼2016-05-27 14:27:06
machb05
木虫 (著名写手)
- 应助: 0 (幼儿园)
- 金币: 10695.1
- 散金: 24
- 红花: 1
- 帖子: 1652
- 在线: 11.3小时
- 虫号: 835425
- 注册: 2009-08-27
- 性别: GG
- 专业: 有机分子功能材料化学
9楼2018-07-13 16:38:06













回复此楼