24小时热门版块排行榜    

北京石油化工学院2026年研究生招生接收调剂公告
查看: 707  |  回复: 0

zmoyanyu

铜虫 (正式写手)

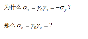
[求助] 求高手帮忙看看如何把dirac方程中的四维矩阵转化成pauli矩阵

万分感谢!!!

求高手帮忙看看如何把dirac方程中的四维矩阵转化成pauli矩阵
钱钱钱钱.png
回复此楼

» 猜你喜欢

已阅   回复此楼   关注TA 给TA发消息 送TA红花 TA的回帖
相关版块跳转 我要订阅楼主 coolhaha 的主题更新
最具人气热帖推荐 [查看全部] 作者 回/看 最后发表
[考研] 一志愿武汉理工,总分321,英一数二,求老师收留。 +4 nnnnnnn5 2026-03-25 4/200 2026-03-27 01:04 by fmesaito
[考研] 336材料求调剂 +7 陈滢莹 2026-03-26 9/450 2026-03-27 00:20 by wxiongid
[考研] 333求调剂 +6 wfh030413@ 2026-03-23 6/300 2026-03-26 22:45 by 学员8dgXkO
[考研] 0856材料专硕353求调剂 +7 NIFFFfff 2026-03-20 7/350 2026-03-26 20:45 by 不吃魚的貓
[考研] 材料调剂 5+4 想要一壶桃花水 2026-03-25 10/500 2026-03-26 19:56 by 不吃魚的貓
[考研] 一志愿厦门大学化学学硕307求调剂 +8 y7czhao 2026-03-26 8/400 2026-03-26 19:51 by 不吃魚的貓
[考研] 一志愿北京化工大学材料与化工(085600)296求调剂 +9 稻妻小编 2026-03-26 9/450 2026-03-26 16:16 by 不吃魚的貓
[考研] 334分 一志愿武理 材料求调剂 +4 李李不服输 2026-03-26 4/200 2026-03-26 16:00 by 不吃魚的貓
[考研] 总分293求调剂 +6 加一一九 2026-03-25 8/400 2026-03-26 13:30 by yujianx
[考研] 293求调剂 +7 加一一九 2026-03-24 7/350 2026-03-25 12:02 by userper
[考研] 生物学学硕求调剂 +7 小羊睡着了? 2026-03-23 10/500 2026-03-25 02:24 by 清风拂扬。 m
[考研] 一志愿北化315 求调剂 +3 akrrain 2026-03-24 3/150 2026-03-24 19:35 by 了了了了。。
[考研] 306求0703调剂一志愿华中师范 +10 纸鱼ly 2026-03-21 11/550 2026-03-24 17:22 by qingfeng258
[考研] 384求调剂 +3 子系博 2026-03-22 6/300 2026-03-23 21:45 by 子系博
[考研] 315分,诚求调剂,材料与化工085600 +3 13756423260 2026-03-22 3/150 2026-03-22 20:11 by edmund7
[考研] 298求调剂一志愿211 +3 上岸6666@ 2026-03-20 3/150 2026-03-22 15:50 by ColorlessPI
[考研] 0703化学297求调剂 +3 Daisy☆ 2026-03-20 3/150 2026-03-21 17:45 by ColorlessPI
[考研] 336求调剂 +5 rmc8866 2026-03-21 5/250 2026-03-21 17:24 by 学员8dgXkO
[考研] 0805材料320求调剂 +3 深海物语 2026-03-20 3/150 2026-03-21 15:46 by 无际的草原
[考研] 求调剂 +3 @taotao 2026-03-20 3/150 2026-03-20 19:35 by JourneyLucky
信息提示
请填处理意见