| 查看: 745 | 回复: 4 | |
i维数木虫 (正式写手)
|
[求助]
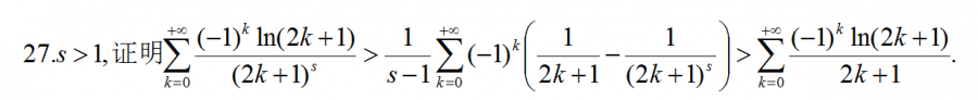
求助一道级数不等式
|
|
|
|
hank612至尊木虫 (著名写手)
|
|
![]() |
|
|
2楼2016-05-24 07:06:22
|
|
i维数木虫 (正式写手)
|
|
|
3楼2016-05-25 22:18:35
|
|
gold2007捐助贵宾 (正式写手)
|
|
|
4楼2016-05-25 22:37:52
|
|
i维数木虫 (正式写手)
|
|
|
5楼2016-05-26 00:21:55
|
|













回复此楼

10