| 查看: 2704 | 回复: 4 | ||
[求助]
请教各位大神 为什么CV图随着扫速越大图型面积反而变小?已有1人参与
|
|
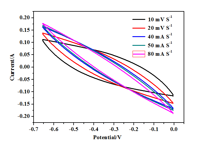
请教各位大神,我是做金属氧化物电极材料的 今天测了一个样 为什么CV图随着扫速越大图型面积反而变小?如图 cv4.30(1).png@VIMPILE |
» 猜你喜欢
招贤纳博(已结束)
已经有29人回复
表征测试机构后台私聊我
已经有0人回复
物理化学论文润色/翻译怎么收费?
已经有189人回复
Coordination Chemistry Reviews
已经有1人回复
请问现在还有电池材料方向的博导招人吗
已经有4人回复
» 本主题相关商家推荐: (我也要在这里推广)

2楼2018-10-22 19:29:06
caoshuai8361
金虫 (小有名气)
- 应助: 0 (幼儿园)
- 金币: 3392.9
- 散金: 10
- 帖子: 51
- 在线: 24.4小时
- 虫号: 561675
- 注册: 2008-05-22
- 专业: 催化化学
3楼2019-06-29 17:03:42
4楼2022-08-10 23:36:02

5楼2023-05-12 20:18:04













回复此楼
