| 查看: 2116 | 回复: 40 | |||||
| 当前只显示满足指定条件的回帖,点击这里查看本话题的所有回帖 | |||||
[交流]
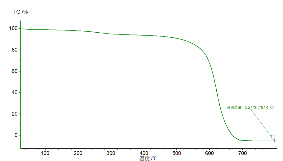
TGA测试残留为负值已有16人参与
|
|||||
weijorn
新虫 (小有名气)
- 应助: 2 (幼儿园)
- 金币: 201.7
- 散金: 14
- 帖子: 166
- 在线: 63.1小时
- 虫号: 2989234
- 注册: 2014-02-24
- 性别: GG
- 专业: 木材科学与技术
★
小木虫: 金币+0.5, 给个红包,谢谢回帖
小木虫: 金币+0.5, 给个红包,谢谢回帖
失眠的鱼啊
木虫 (小有名气)
- 应助: 9 (幼儿园)
- 金币: 2214.7
- 散金: 20
- 红花: 1
- 帖子: 162
- 在线: 110.9小时
- 虫号: 4072858
- 注册: 2015-09-15
- 性别: GG
- 专业: 高分子物理与高分子物理化













回复此楼