| 查看: 3363 | 回复: 9 | ||
萧何0217至尊木虫 (职业作家)
|
[求助]
纳米颗粒近红外光光热转换效率计算
|
|
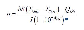
我使用的公式如图所示,很多文章使用这个公式,但是光于这个I,有的文章取得是功率密度,有的取得是功率。我发现如果取得是功率密度,那么分母与分子的量纲就不对了。。。现在我也不知道到底用哪个了,大家使用的是那个参数? 2016-05-19_185355.jpg |
» 猜你喜欢
上海海事大学“安全科学与工程”一级学科硕士学位授予点尚有部分缺额
已经有0人回复
【广州】仲恺农业工程学院城乡建设学院土木水利专业硕士招调剂,线上复试
已经有2人回复
建筑环境与结构工程论文润色/翻译怎么收费?
已经有259人回复
西京学院-结构工程-2026研究生调剂
已经有0人回复
上海海事大学“安全科学与工程”一级学科硕士学位授予点尚有部分缺额
已经有0人回复
西京学院-结构工程-2026研究生调剂
已经有0人回复
【广州】仲恺农业工程学院城乡建设学院土木水利专业硕士招大量调剂,线上复试
已经有0人回复
【广州】仲恺农业工程学院城乡建设学院土木水利专业硕士招大量调剂,线上复试
已经有0人回复
上海海事大学安全科学与工程学科有部分名额,欢迎调剂
已经有0人回复
土木考研调剂-08开头和计算机专业+V:18173116706
已经有0人回复
» 本主题相关商家推荐: (我也要在这里推广)

2楼2016-05-19 19:40:57
tjuwangyu
新虫 (初入文坛)
- 应助: 0 (幼儿园)
- 金币: 1974.3
- 帖子: 16
- 在线: 68.8小时
- 虫号: 2303471
- 注册: 2013-02-27
- 专业: 有机分子功能材料化学
3楼2016-05-25 14:28:01
萧何0217
至尊木虫 (职业作家)
- 应助: 10 (幼儿园)
- 金币: 13469.1
- 散金: 3457
- 红花: 6
- 帖子: 3838
- 在线: 1743.4小时
- 虫号: 1824935
- 注册: 2012-05-18
- 性别: GG
- 专业: 半导体物理

4楼2016-05-25 15:05:00
萧何0217
至尊木虫 (职业作家)
- 应助: 10 (幼儿园)
- 金币: 13469.1
- 散金: 3457
- 红花: 6
- 帖子: 3838
- 在线: 1743.4小时
- 虫号: 1824935
- 注册: 2012-05-18
- 性别: GG
- 专业: 半导体物理

5楼2016-05-25 15:05:15
tjuwangyu
新虫 (初入文坛)
- 应助: 0 (幼儿园)
- 金币: 1974.3
- 帖子: 16
- 在线: 68.8小时
- 虫号: 2303471
- 注册: 2013-02-27
- 专业: 有机分子功能材料化学
6楼2016-05-25 15:17:32
萧何0217
至尊木虫 (职业作家)
- 应助: 10 (幼儿园)
- 金币: 13469.1
- 散金: 3457
- 红花: 6
- 帖子: 3838
- 在线: 1743.4小时
- 虫号: 1824935
- 注册: 2012-05-18
- 性别: GG
- 专业: 半导体物理

7楼2016-05-25 19:06:16
benbenyuer
金虫 (小有名气)
- 应助: 0 (幼儿园)
- 金币: 777.4
- 帖子: 255
- 在线: 84.1小时
- 虫号: 463479
- 注册: 2007-11-20
- 专业: 无机非金属基复合材料
8楼2016-08-05 23:54:56
9楼2017-05-10 21:43:06
萧何0217
至尊木虫 (职业作家)
- 应助: 10 (幼儿园)
- 金币: 13469.1
- 散金: 3457
- 红花: 6
- 帖子: 3838
- 在线: 1743.4小时
- 虫号: 1824935
- 注册: 2012-05-18
- 性别: GG
- 专业: 半导体物理

10楼2017-05-10 23:20:50













回复此楼

10