²é¿´: 730  |  »Ø¸´: 0

zhc803813

Òø³æ (СÓÐÃûÆø)

[ÇóÖú] ¶àÏîÁ÷ UDSÉèÖÃ

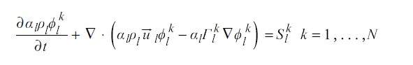
ÕâÊÇÒ»¸ö¶àÏàÁ÷µÄ¿ØÖÆ·½³Ì£¬Ñ¡ÓõÄÅ·À­Ä£ÐÍ£¬ÐèÒª¶ÔÆäÖÐÒ»Ïà½øÐÐUDS±àд£¬ UDSµÄÔ´ÏàÈçÏÂ

DEFINE_SOURCE(SliquidSource1,c,pri_th,dS,eqn)     /*Ô´Ïî */
{
        real source;
        Thread *t;
        t = THREAD_SUPER_THREAD(pri_th);   
        source = 0.-10*RED_K*C_UDSI_M1(c,t,0);
        dS[eqn]=0.;/*0.-10*RED_K;*/
    return  source;
}

ÔÚÉèÖùý³ÌÖУ¬ PhaseÑ¡Ôñ³õʼÏ࣬ flux functionÑ¡×Åmass flow rate£¬unstead functionÑ¡×Ådefault£¬±ß½çÌõ¼þΪspecified flux=0.£º½øÐÐÕâÑùÉèÖú󣬼ÆËã¹ý³ÌÖз¢ÏÖËæ×ųõʼÏàµÄ·ÖÂʵļõÉÙ£¬C_UDSI(c,t,0)µÄÖµ²»¶Ï¼õÉÙ£¬Çë´óÉñÃǰï°ï棬½â¾öºó±ØÓÐÖØÐ»£¡

¶àÏîÁ÷ UDSÉèÖÃ
12.jpg
»Ø¸´´ËÂ¥

» ²ÂÄãϲ»¶

ÒÑÔÄ   »Ø¸´´ËÂ¥   ¹Ø×¢TA ¸øTA·¢ÏûÏ¢ ËÍTAºì»¨ TAµÄ»ØÌû
Ïà¹Ø°æ¿éÌø×ª ÎÒÒª¶©ÔÄÂ¥Ö÷ zhc803813 µÄÖ÷Ìâ¸üÐÂ
×î¾ßÈËÆøÈÈÌûÍÆ¼ö [²é¿´È«²¿] ×÷Õß »Ø/¿´ ×îºó·¢±í
[¿¼ÑÐ] 332Çóµ÷¼Á +4 ydfyh 2026-03-17 4/200 2026-03-21 02:20 by JourneyLucky
[¿¼ÑÐ] 324·Ö 085600²ÄÁÏ»¯¹¤Çóµ÷¼Á +4 llllkkkhh 2026-03-18 4/200 2026-03-21 01:24 by JourneyLucky
[¿¼ÑÐ] Ò»Ö¾Ô¸»ªÄÏʦ´ó 070300£¨»¯Ñ§£©304·ÖÇóµ÷¼Á +3 0703ÎäÜ·»ÛÑ©304 2026-03-18 3/150 2026-03-21 00:48 by JourneyLucky
[¿¼ÑÐ] 274Çóµ÷¼Á +10 S.H1 2026-03-18 10/500 2026-03-20 23:51 by JourneyLucky
[¿¼ÑÐ] 317Çóµ÷¼Á +5 Éê×ÓÉêÉê 2026-03-19 9/450 2026-03-20 22:26 by JourneyLucky
[¿¼ÑÐ] ÖÐÄÏ´óѧ»¯Ñ§Ñ§Ë¶337Çóµ÷¼Á +3 niko- 2026-03-19 6/300 2026-03-20 21:58 by luoyongfeng
[¿¼ÑÐ] Çóµ÷¼ÁÒ»Ö¾Ô¸ÄϾ©º½¿Õº½Ìì´óѧ289·Ö +3 @taotao 2026-03-19 3/150 2026-03-20 21:34 by JourneyLucky
[¿¼ÑÐ] 316Çóµ÷¼Á +5 ÁºÜçö© 2026-03-19 5/250 2026-03-20 21:26 by ÄãºÃÄãºÃ666
[¿¼ÑÐ] Çóµ÷¼Á +5 Mqqqqqq 2026-03-19 5/250 2026-03-20 20:46 by zhukairuo
[¿¼ÑÐ] 319Çóµ÷¼Á +3 СÁ¦Æøçæçæ 2026-03-20 3/150 2026-03-20 19:47 by JourneyLucky
[¿¼ÑÐ] ²ÄÁÏÓ뻯¹¤×¨Ë¶µ÷¼Á +7 heming3743 2026-03-16 7/350 2026-03-20 19:31 by zhukairuo
[»ù½ðÉêÇë] ѧУÒѾ­Ìá½»µ½NSFC£¬»¹ÄÜÐÞ¸ÄÂ𣿠40+4 babangida 2026-03-19 8/400 2026-03-20 15:58 by babero
[¿¼ÑÐ] 0703»¯Ñ§ 305Çóµ÷¼Á +4 FY_yy 2026-03-14 4/200 2026-03-19 05:54 by anny19840123
[¿¼ÑÐ] 311Çóµ÷¼Á +6 26ÑÐ0 2026-03-15 6/300 2026-03-18 14:43 by haxia
[¿¼ÑÐ] 0703»¯Ñ§µ÷¼Á +3 ÄÝÄÝninicgb 2026-03-17 3/150 2026-03-18 10:29 by macy2011
[¿¼ÑÐ] ÉúÎïѧ071000 329·ÖÇóµ÷¼Á +3 ÎÒ°®ÉúÎïÉúÎﰮΠ2026-03-17 3/150 2026-03-18 10:12 by macy2011
[˶²©¼ÒÔ°] ºþ±±¹¤Òµ´óѧ ÉúÃü¿ÆÑ§Ó뽡¿µÑ§Ôº-¿ÎÌâ×éÕÐÊÕ2026¼¶Ê³Æ·/ÉúÎï·½Ïò˶ʿ +3 1ϲ´º8 2026-03-17 5/250 2026-03-17 17:18 by ber´¨cool×Ó
[¿¼ÑÐ] 283Çóµ÷¼Á +3 Ìý·ç¾ÍÊÇÓꣻ 2026-03-16 3/150 2026-03-17 07:41 by ÈÈÇéɳĮ
[¿¼ÑÐ] Ò»Ö¾Ô¸211 0703·½Ïò310·ÖÇóµ÷¼Á +3 ŬÁ¦·Ü¶·112 2026-03-15 3/150 2026-03-16 16:44 by houyaoxu
[¿¼ÑÐ] 289Çóµ÷¼Á +4 ÕâôÃû×ÖÕ¦Ñù 2026-03-14 6/300 2026-03-14 18:58 by userper
ÐÅÏ¢Ìáʾ
ÇëÌî´¦ÀíÒâ¼û